Добавить в корзинуПозвонить
Найти в Дзене
ОВиК project

Комментарий к статье «Влияние проектных решений противодымной вентиляции на пусконаладочные работы…». АВОК №7’2024

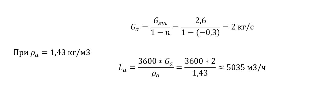
Полное название статьи: Влияние проектных решений противодымной вентиляции на пусконаладочные работы. Организация системы дымоудаления в межквартирном коридоре. Опубликована в журнале АВОК №7’2024. Ознакомиться можно здесь. Из-за огромного личного интереса тщательно следим за статьями, посвященными противодымной вентиляции. Анализируем, учимся. Писали как-то заметку на схожую тему – «Системы противодымной вентиляции. Массовый или объемный баланс? Ставим точку». Вот и здесь не смогли пройти мимо…. Возможно сказанное будет нетактичным, возможно тон заметки грубоват… Просим авторов не воспринимать на свой счет. Это всего лишь предложение к дискуссии. 1) Ошибка в расчете расхода компенсационной подачи. При дисбалансе n = -0,3 в соответствии с формулой (65) МД.137-13 "Расчетное определение основных параметров противодымной вентиляции зданий: Методические рекомендации": А не ≈ 4550 м3/ч как в расчетном примере. Также хотелось бы отметить, что в соответствии с требованиями п. 9.7 СП 60.13330.
Оглавление

Полное название статьи: Влияние проектных решений противодымной вентиляции на пусконаладочные работы. Организация системы дымоудаления в межквартирном коридоре. Опубликована в журнале АВОК №7’2024. Ознакомиться можно здесь.

Из-за огромного личного интереса тщательно следим за статьями, посвященными противодымной вентиляции. Анализируем, учимся. Писали как-то заметку на схожую тему – «Системы противодымной вентиляции. Массовый или объемный баланс? Ставим точку».

Вот и здесь не смогли пройти мимо….

Возможно сказанное будет нетактичным, возможно тон заметки грубоват… Просим авторов не воспринимать на свой счет. Это всего лишь предложение к дискуссии.

Нашли несколько несостыковок в тексте. Решили обратить на них Ваше внимание.

1) Ошибка в расчете расхода компенсационной подачи.

При дисбалансе n = -0,3 в соответствии с формулой (65) МД.137-13 "Расчетное определение основных параметров противодымной вентиляции зданий: Методические рекомендации":

-2

А не ≈ 4550 м3/ч как в расчетном примере.

Также хотелось бы отметить, что в соответствии с требованиями п. 9.7 СП 60.13330.2020 «Отопление, вентиляция и кондиционирование воздуха СНиП 41-01-2003 (с Поправкой, с Изменениями N 1, 2, 3)»:

При выборе расчетных параметров систем противодымной вентиляции следует соблюдать баланс между расходом удаляемых продуктов горения и замещающим его приточным воздухом в соответствии с нормативными документами по пожарной безопасности [3]. Не допускается без соответствующего расчетного обоснования принимать дисбаланс между указанными расходами, как при применении систем с механическим побуждением тяги, так и при применении систем с естественным побуждением тяги, в т.ч. в различных сочетаниях.

[3] Федеральный закон от 22 июля 2008 г. N 123-ФЗ "Технический регламент о требованиях пожарной безопасности"

-3

Соответственно, нужно подправить рис. 1 (и убрать на нем непонятные проценты возле «Па»).

Ранее неоднократно говорили про перепад на двери в 150 Па. По нормам да, 150 Па, но надо делать меньший перепад давления. Об этом писали в заметке - "Про перепад давления в 150 Па на закрытых дверях эвакуационных выходов".

2) "Проект сдан, монтаж пройден, входной конт­роль оборудования успешно произведен, отклонение расходов от проектных значений по СП 73.13330.2016 [3] не превышает допустимых 10 %, и все соответствующие требования соблюдены".

Очень интересно, как для системы вытяжной противодымной вентиляции добились отклонения расхода на дымоприемном устройстве в 10%. Почему с этим будут проблемы – см. пункт 3.

3) Обратите внимание на рис. 2.

Рис. 2. Результат измерений параметров в межквартирном коридоре при проведении пусконаладочных испытаний: а – расход на клапане СВПВ; б – расход на клапане СППВ; в – перепад давления на двери
Рис. 2. Результат измерений параметров в межквартирном коридоре при проведении пусконаладочных испытаний: а – расход на клапане СВПВ; б – расход на клапане СППВ; в – перепад давления на двери

Судя по рисунку:

Расход на дымоприемном устройстве Lдв= 17539,8 м3/ч

Расход на устройстве компенсирующей подачи воздуха Lдп = 5979,2 м3/ч

Перепад на эвакуационной двери ΔР = 789 Па.

Сейчас не будем касаться проведения темы правильности проведения замеров. О замерах на решетке ранее писали в заметках:
- Измерения расхода на воздухораспределительных устройствах
- К вопросу о замерах на приточных решетках
По поводу замеров и их точности – можете обратиться к Александру Мельникову или Константину Таратыркину. Их профиль. А мы так – сбоку припёка :)

Не замечаете странности в числах? Если схема СВПВ+СППВ (по нашему ДВ+ДП) – «последовательная работа двух вентиляторов» (так сказано в статье, и это, собственно, правда), то как получилась такая разница в расходах?

По опыту ПНР – значения на решетках должны быть практически одинаковые (на решетке ДУ обычно немного больше из-за подсосов через двери/окна). Значения будет зависеть от характеристик вентилятора и сети. Про последовательную работу вентиляторов в сети - см. здесь или Г. Г. Вахвахов "Работа вентиляторов в сети".

Пример (Цифры из головы, просто для понимания).

По проекту на решетке ДУ – 18000 м3/ч, на решетке КДУ – 6550 м3/ч.

При пересчете по ГОСТ Р 53300-2009 "Противодымная защита зданий и сооружений. Методы приемосдаточных и периодических испытаний (с Изменением N1)" (п. 3.2) на решетке системы вытяжной противодымной вентиляции получим меньшее значение – пусть будет 17000 м3/ч (зависит от гравитационного давления. Расчет без учета влияния вентилятора КДУ).

Важно!
Обратите внимание на пункт Б.4 Приложения Б ГОСТ Р 53300-2009 "Противодымная защита зданий и сооружений. Методы приемосдаточных и периодических испытаний (с Изменением N1)"

Но при совместном пуске систем получим промежуточное значение (между 6550 и 17000), к примеру: на приточной решетке 9000 м3/ч, на вытяжной - 9200 м3/ч и дикий перепад на двери (значение будет зависеть от характеристик вентилятора и сети).

В общем не сходится тут. Чтобы получить расход, как на рисунке 2, на решетке вытяжной противодымной вентиляции нужно (по принципу или):

- устроить пожар на этаже и подождать пока дым дойдет до расчетной температуры. Провести замеры. Маловероятно, согласитесь :);

- открыть окно в квартире и дверь из квартиры в коридор (данное решение не описано в ГОСТ Р 53300-2009, соответственно не допускается);

- открыть окно в коридоре (если есть) (данное решение не описано в ГОСТ Р 53300-2009, соответственно не допускается);

- иметь много дверей выходов в коридор, через которые подсосется дополнительный расход. Тоже очень маловероятно. Обычно штук 6 квартир выходят в такой коридор, плюс еще дверь в лифтовый холл. Подсос через них будет небольшим. А. Н. Колубков предлагает исходить из подсосов в 100 м3/ч на 1 дверь. Итого кубов 700. Ну даже если с 2-х кратным запасом – 1400 м3/ч. А тут разница в примерно 11,5 тыс. м3/ч…

В итоге, нет ясности, как авторы получили такие значения расхода. Да и перепад давления подтверждает наши размышления об ошибочности значений расходов.

Теперь наше мнение по вопросу: «Почему не обеспечить объемный баланс?»

Да, нас никто не спрашивал. Но мы скажем :)

Итак, объемный баланс – это частный случай массового баланса, когда плотность перемещаемой среды одинаковая.

Помним два правила:
В тепломассообмене соблюдается массовый баланс.
Вентилятор перемещает постоянный объем.

При одинаковом объемном балансе и одинаковой температуре перемещаемой среды, массовый баланс также будет одинаков. Но при повышении температуры удаляемого дыма, массовый расход в системе вытяжной противодымной вентиляции начинает уменьшаться (правила выше). Таким образом в помещение подается больше массы, чем удаляется. Это грозит созданием избыточного давления в коридоре/помещении. В результате дым может выдавливаться в смежные помещения – на лестницы, в ПБЗ. На наш взгляд такое недопустимо. Хорошо бы конечно провести исследования, смоделировать ситуацию. А. Н. Колубков, когда предлагал свое решение по объемному балансу, ориентировался на время эвакуации – за это время температура дыма не достигнет расчетной, а будет лишь немного выше температуры воздуха. Вероятно, так и есть. Но не задавался вопросом: а что может быть после эвакуации? Те же МГН ждут спасения. А если кто-то не успел эвакуироваться и ждет спасения в квартире? Много вопросов и все без ответов. Если бы эксперимент или моделирование проводилось – нас уже давно бы тыкнули носом в них.

Про выводы

Выводы, конечно, сделаны неоднозначные. Если с выводом 2 можно безусловно согласиться, то выводы 1 и 3 очень сомнительные.

По выводу 1:

Выполнение нормативных требований одной из сторон строительства не всегда обеспечивает возможность выполнения требований другой стороны. Согласование проекта является важной, но не основной задачей, главное – реализация всех решений совместно с другими участниками строительного процесса и обеспечение комфортного и безопасного пребывания пользователям здания.

Требования должны быть гармоничны. Или одна рука не знает, что делает другая?

Взять к примеру следующую ситуацию:

СП 60.13330.2020 «Отопление, вентиляция и кондиционирование воздуха СНиП 41-01-2003 (с Поправкой, с Изменениями N 1, 2, 3)» п. 7.11.1:

Воздуховоды в строительном исполнении из хризотилцементных (асбестоцементных) конструкций применять в многоквартирных жилых зданиях высотой более 50 м не допускается. Воздуховоды в строительном исполнении по классу герметичности должны соответствовать приложению М.

В то же время, в соответствии с п. 6.3 ГОСТ Р 70824-2023 "Инженерные сети зданий и сооружений внутренние. Устройство систем вентиляции многоквартирных жилых зданий. Правила и контроль выполнения работ":

Воздуховоды систем естественной вытяжной вентиляции в строительном исполнении из бетонных блоков без внутренней негорючей облицовки сталью или другими сертифицированными материалами не допускается применять в многоквартирных жилых зданиях.

Т.е. СП 60 разрешает применение вентблоков строительного исполнения без внутреннего покрытия (при высоте до 50 м), а ГОСТ на контроль выполнение работ – нет. Ну ерунда же! Таким макаром мы далеко не уедем! Выход один – только гармоничное сочетание!

Для этих целей совместно с компанией "Аэропро" разработали энциклопедию Аэропро.Вики. Там сделали специальную страницу, где собираем опечатки, ошибки в нормативных документах. Добавить туда информацию может каждый!

По выводу 3:

Существуют нормы времени приезда пожарных подразделений на объект, методы расчета времени эвакуации, и чтобы не допускать дополнительных деструктивных последствий, вызванных подачей воздуха на компенсацию дымоудаления, пора рассмотреть вариативное отключение системы после успешной эвакуации с объекта, не дожидаясь его полного сгорания.

Ну отключаем мы систему компенсации. А вытяжную систему (дымоудаления) нет? Как же разряжение в коридоре? А если люди не успели эвакуироваться за отведенное время – они же дверь не откроют! Да и пожарным будет сложнее попасть в помещение.

Промежуточные итоги

Тема больная – вопросов много, ответов нет. Но решать проблему надо.

Одно из решений предлагает Эсманский Рустам Кимович – см. статью «Анализ комплексных систем противодымной вентиляции многоэтажных зданий исходя из отечественной и зарубежной практики». Это решение требует определенного переосмысления работы систем противодымной вентиляции. Будет много сложностей (споров, согласований). Нужны эксперименты. Также будет необходима корректировка нормативных документов. В общем, не быстрое дело…

В рамках текущих нормативных требований для решения указанной задачи возможно:

1) Применение естественной компенсации;

2) Сочетание естественной и механической компенсации;

3) Автоматическое регулирование производительности вентилятора компенсирующей системы (к примеру, по датчику перепада давления).

Возможно читатели предложат решения. Будем только рады!

Предлагаем всех заинтересованных присоединиться к обсуждению данной темы. Спасибо!

04.10.2024

Благодарим за внимание!

Подписывайтесь на нас в Telegram!

Чат Telegram-канала доступен по ссылке.

QR-код для перехода в Telegram-канал
QR-код для перехода в Telegram-канал

Отправить пожелания, замечания, Ваши технические решения, справочную литературу и другую полезную информацию Вы можете на электронный адрес: ovik-projekt@yandex.ru

Друзья, мы не просим средства на поддержку нашего проекта (хотя будем им рады, чего таить). Но если Вы действительно хотите выразить нам благодарность:

Кошелек ЮMoney: 4100116641749592

Инструкция, как пополнить кошелек Юмани со Сбербанка, здесь.