Найти в Дзене

Методы решений квадратных уравнений

Наверняка многие из тех, кто находился в средней школе слышали хотя бы краем уха про квадратные уравнения вида ax²+bx+c. Думаю многие понимали как решать такие уравнения, ведь для решения их существует красивая и универсальная формула. Но споры по поводу удобности и легкости методов решения уравнений ведутся до сих пор. Кто-то считает, что квадратные уравнения удобнее решать через теорему Виета, а есть те, кто наоборот считает теорему Виета неудобной, отдавая предпочтение решению через квадратичную формулу. На самом же деле методов больше, и в этой статье мы разберем основные из них и попробуем определить какой из них самый лучший. Самый базовый метод решения. Самая главная ее особенность заключается в том, что это универсальная формула для решения абсолютно любого квадратного уравнения. Квадратичная формула занимает монополию в этом плане, ведь здесь все делается путем арифметики и нету возможности что-то подобрать не так. Но все же давайте взглянем на эту формулу: Сразу же хочется о
Оглавление

Наверняка многие из тех, кто находился в средней школе слышали хотя бы краем уха про квадратные уравнения вида ax²+bx+c. Думаю многие понимали как решать такие уравнения, ведь для решения их существует красивая и универсальная формула. Но споры по поводу удобности и легкости методов решения уравнений ведутся до сих пор. Кто-то считает, что квадратные уравнения удобнее решать через теорему Виета, а есть те, кто наоборот считает теорему Виета неудобной, отдавая предпочтение решению через квадратичную формулу. На самом же деле методов больше, и в этой статье мы разберем основные из них и попробуем определить какой из них самый лучший.

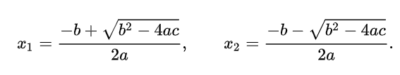
Квадратичная формула

Самый базовый метод решения. Самая главная ее особенность заключается в том, что это универсальная формула для решения абсолютно любого квадратного уравнения. Квадратичная формула занимает монополию в этом плане, ведь здесь все делается путем арифметики и нету возможности что-то подобрать не так. Но все же давайте взглянем на эту формулу:

Формулы двух корней квадратного уравнения.
Формулы двух корней квадратного уравнения.

Сразу же хочется отметить, что выражение b²-4ac, которое принято называть дискриминантом, определяет какие корни будут в уравнении. Конечно когда вы находитесь на университетском курсе вам это не очень поможет, но если вы школьник, то на середине решения можно не продолжать в случае отрицательности величины. Ну и самый главный плюс это естественно возможность нахождения комплексных и иррациональных корней, которые подобрать с помощью теоремы Виета тяжело. Подытожим:

+: Универсальная и подходит для любых квадратных уравнений в общем виде
+: Из-за вычислений можно найти корни из абсолютно любого множества
-: Большие затраты времени при вычислении

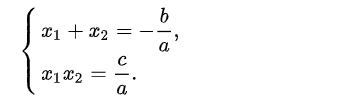
Теорема Виета

Еще один метод решения квадратных уравнения входящий в школьную программу. Идея состоит в том, чтобы с помощью системы уравнений подобрать подходящие корни. Выглядит формула Виета для квадратного уравнения вот так:

Формула Виета
Формула Виета

И с ходу в голове всплывает вопрос о решении уравнений. В отличии от предыдущего метода, здесь вы должны подобрать такие числа, чтобы они являлись корнями системы уравнений. То есть, здесь уже не так все железобетонно, ведь например подобрать иррациональный, а то и вещественный корень очень тяжело и неудобно. Но не все так плохо, используя на практике этот метод помогает сократить время решения(Конечно если ваша голова быстро варит). Сделаем вывод:

+: Меньше затрат времени
-: Не всегда корни подбираются легко
-: Подходит только для уравнений, старший коэффициент которого равен единице.

Переброска

По факту метод переброски является лишь модифицированной, а на деле просто видоизмененной теоремой Виета. Идея заключается в том, чтобы выполнить замену для приведения уравнения к виду x²+px+q. Рассмотрим алгоритм решения таким методом:

Для того, чтобы выполнить замену мы должны умножить две части уравнения на старший коэффициент

-3

Теперь выполним замену y=ax

-4

Теперь мы получили то уравнение, что нам нужно. Теперь решаем его относительно y и делаем обратную замену, находя x = y/a

По сути мы сделали то же самое, что и делается в теореме Виета, просто немного другим способом. Сам метод как вы понимаете не имеет смысла, если в приведенном уравнении вы будете решать квадратичной формулой. А ввиду некоторых минусов теоремы Виета сам способ является очень посредственным.

+: Позволяет решать уравнения более быстро
-: Ввиду того, что основанием метода является теорема Виета, находить комплексные и иррациональные корни будет тяжело
-: Не все уравнения содержат идеальные коэффициенты и в случае, если они дробные, то найти корень будет гораздо сложнее.

Соотношения коэффициентов

Существуют частные случаи, когда квадратные уравнения можно решить с помощью соотношения коэффициентов.

Первое свойство:

Если в квадратном уравнении (ax²+bx+c) сумма старшего коэффициента и свободного члена равна второму коэффициенту (a+c=b), то корнями такого уравнения являются числа -1 и число, противоположное отношению свободного члена к старшему коэффициенту -c/a

Второе свойство:

Если в квадратном уравнении (ax²+bx+c) сумма всех его коэффициентов равна нулю (a+b+c=0), то корнями такого уравнения являются 1 и отношение свободного члена к старшему коэффициенту

Используя такие свойства можно решать уравнения в кратчайшие сроки, что несомненно хорошо. Проблемой данного метода является тот факт, что такие уравнения встречаются не очень часто, а значит и использовать эти свойства можно не всегда, ввиду их узкого круга применения

+: Очень быстрое решение уравнения
-: Узкий круг применения

Графический метод

Этот способ содержит в себе достаточно большое количество приемов. Рассмотрим все и сделаем оценку для каждого. Возьмем для примера уравнение 2x²-9x+4

Прием 1

Построить график квадратичной функции ax²+bx+c и посмотреть на точки пересечения графика с осью x.
График функции 2x²-9x+4
График функции 2x²-9x+4

Способ достаточно безумен) Вся проблема в том, что такой метод не будет отличаться от обычного подбора корней. Можно конечно попробовать построить параболу с помощью пары-тройки точек и посмотреть в какой момент она пересекает ось x, но такое решение вполне может оказаться неточным.

-: Неточность решения
-: Затратно по времени

Прием 2

Преобразовать уравнение к виду ax²=-bx-c и построить два графика f(x)=ax² и g(x) = -bx-c. абсциссы точек пересечения двух графиков и будут решениями уравнения.

Этот способ очень похож на предыдущий, но в данном случае подбора не будет, а вы увидите два решения. Но на любой графический метод решения распространяются два минуса: долгота и неточность. К сожалению если у вас мало времени, то использовать такие способы не рационально.

-: Неточность решения
-: Затратно по времени

Прием 3

Преобразовать уравнение к виду ax²=-bx-c и построить два графика f(x)=ax²+с и g(x) = -bx. абсциссы точек пересечения двух графиков и будут решениями уравнения.

Точно такой же прием как и во втором случае, просто мы использовали другое преобразование. Все та же история.

-: Неточность решения
-: Затратно по времени

Прием 4

Преобразовать уравнение к виду ax²/x+bx/x+c/x=0/x и построить два графика f(x)=ax+b и g(x) = -c/x. абсциссы точек пересечения двух графиков и будут решениями уравнения. Метод не работает при с равном нулю
Графикv функций 2x+9 и -4/x (2 корня)
Графикv функций 2x+9 и -4/x (2 корня)

Проблем с этим методом еще больше. Думаю, что суть ясна)

-: Неточность решения
-: Затратно по времени
-: Работает не для всех уравнений

Подытожим с графическим методом. Это затратный по времени и неточный способ решения уравнения. Не думаю, что это лучший способ решать их, но не отметить его нельзя.

-: Неточность решения
-: Затратно по времени

Итог

Сравнивая все "за" и "против" конечно же в выигрышной позиции оказывается квадратичная формула. Оно и ясно, ведь только она позволяет находить корни уравнения из всех множеств чисел. А как вы считаете, какой из способов является самым лучшим для решения квадратных уравнений? Пишите в комментариях! Благодарю за прочтение)