Добавить в корзинуПозвонить
Найти в Дзене

Как научиться решать задачи из вступительного экзамена в Университетскую гимназию МГУ

Меня часто спрашивают, как научиться решать задачи из вступительного экзамена по математике в Университетскую гимназию МГУ? Этим мастерством действительно необходимо овладеть, если вы хотите поступить в эту школу. Без подготовки сделать это очень сложно. Разберём на примере вот такого задания из демонстрационного варианта 2024 года: Найдите наименьшее значение выражения 2x-4y на множестве переменных x и y, удовлетворяющих условию 4x^2+9y^2=36? Итак, нам нужно найти наименьшее из возможных значений выражения 2x-4y = t, при условии, что на переменные x и y наложено условие: 4x^2+9y^2=36. То есть имеет место следующая система уравнений: Определим, при каких значениях t система имеет решения относительно (x; y), а затем из всех этих значений выберем наименьшее. Для этого выразим y их второго уравнения и подставим в первое. В результате получим уравнение: или после упрощения: Данное уравнение имеет решение относительно x в том случае, когда его дискриминант неотрицателен. То есть имеет мест

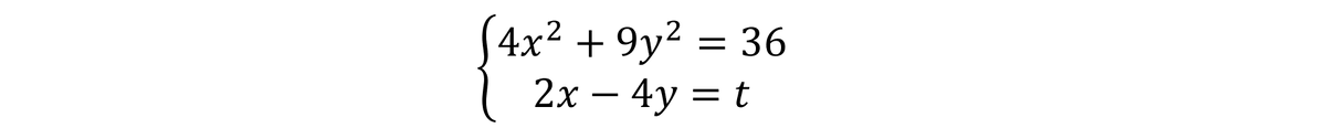
Меня часто спрашивают, как научиться решать задачи из вступительного экзамена по математике в Университетскую гимназию МГУ? Этим мастерством действительно необходимо овладеть, если вы хотите поступить в эту школу. Без подготовки сделать это очень сложно. Разберём на примере вот такого задания из демонстрационного варианта 2024 года:

Найдите наименьшее значение выражения 2x-4y на множестве переменных x и y, удовлетворяющих условию 4x^2+9y^2=36?

Итак, нам нужно найти наименьшее из возможных значений выражения 2x-4y = t, при условии, что на переменные x и y наложено условие: 4x^2+9y^2=36. То есть имеет место следующая система уравнений:

-2

Определим, при каких значениях t система имеет решения относительно (x; y), а затем из всех этих значений выберем наименьшее. Для этого выразим y их второго уравнения и подставим в первое. В результате получим уравнение:

-3

или после упрощения:

-4

Данное уравнение имеет решение относительно x в том случае, когда его дискриминант неотрицателен. То есть имеет место неравенство:

-5

или после упрощения:

-6

Значит, наименьшим значением, которое может принимать t, является число -10. При этом из квадратного уравнения получается соответствующее значение x, а потом находится соответствующее значение y. Причём нам не нужно искать эти конкретные значения (x; y), в задании это не требуется. Достаточно показать, что они существуют, что мы и сделали.

Итак, ответ: -10.

Как подготовиться к вступительному экзамену в Университетскую гимназию МГУ

Вот такое решение. Но как же научиться решать подобные задачи и успешно сдать вступительный экзамен в Университетскую гимназию МГУ? Специально для этого я запускаю новый курс на своём сайте https://cleverfox.info/. Там выложены тренировочные варианты 1-й части вступительного экзамена по математике в 10 класс Университетской гимназии на разные профили подготовки. Варианты составлены по мотивам реальных и демонстрационных экзаменов прошлых лет. Все задачи снабжены подробными решениями, по которым вы сможете тренироваться и готовиться к вступительному экзамену самостоятельно. Попробуйте! Доступ к пробным вариантам абсолютно бесплатный.

Ну а для тех, кому нужен репетитор для подготовки к вступительному экзамену в Университетскую гимназию, обращайтесь ко мне. Я веду такую подготовку практически с момента открытия этой гимназии, многие мои ученики успешно поступили в это учебное заведение. Информацию обо мне и моих занятиях вы сможете найти на сайте https://yourtutor.info/.

Ну а на сегодня всё, с вами был репетитор по математике и физике. Всего вам доброго и до свидания!