Добавить в корзинуПозвонить
Найти в Дзене
STRELA

НАСКОЛЬКО ХОРОШО РАЗНЫЕ НАПИТКИ НАСЫЩАЮТ ВАС ВЛАГОЙ?

Автор: Энди Блоу (Andy Blow) Насколько хорошо различные напитки удерживаются в организме — важный вопрос, имеющий практическое значение. В теории, чем дольше жидкость удерживается в организме, тем больше ее попадет в систему кровообращения и будет эффективно использовано организмом, то есть она будет лучше насыщать вас влагой. Побочным преимуществом будет меньшее количество перерывов на «туалетную паузу», отвлекающих вас во время тренировок или соревнований. И хотя все равно существенная доля жидкости покинет ваш организм с мочой, не все напитки покидают организм одинаково. Такие вещества, как кофеин или алкоголь, обладают мочегонным эффектом и из-за этого уменьшают задержку жидкости в организме. В то же время калории или электролиты, содержащиеся в напитках, уменьшают скорость, с которой жидкость всасывается в пищеварительной системе, то есть они благотворно влияют на постепенность процесса попадания жидкости в кровоток. Большинство факторов, влияющих на то, как ваше тело перерабатыва
Оглавление

Автор: Энди Блоу (Andy Blow)

Насколько хорошо различные напитки удерживаются в организме — важный вопрос, имеющий практическое значение. В теории, чем дольше жидкость удерживается в организме, тем больше ее попадет в систему кровообращения и будет эффективно использовано организмом, то есть она будет лучше насыщать вас влагой. Побочным преимуществом будет меньшее количество перерывов на «туалетную паузу», отвлекающих вас во время тренировок или соревнований.

И хотя все равно существенная доля жидкости покинет ваш организм с мочой, не все напитки покидают организм одинаково. Такие вещества, как кофеин или алкоголь, обладают мочегонным эффектом и из-за этого уменьшают задержку жидкости в организме. В то же время калории или электролиты, содержащиеся в напитках, уменьшают скорость, с которой жидкость всасывается в пищеварительной системе, то есть они благотворно влияют на постепенность процесса попадания жидкости в кровоток.

Большинство факторов, влияющих на то, как ваше тело перерабатывает различные напитки, уже довольно широко изучено. Однако до недавнего времени никто не сравнивал напрямую обычные, часто употребляемые напитки, с точки зрения их способности насыщать организм влагой. Не так давно группа уважаемых ученых из Великобритании опубликовала отчет об исследовании, в котором сравнивался гидратирующий потенциал следующих напитков:

  • Вода
  • Газированная вода
  • Пиво
  • Апельсиновый сок
  • Кофе
  • Чай
  • Обезжиренное и цельное молоко
  • Специальный регидрационный раствор (регидрон)
  • Спортивный напиток (изотоник)
  • Кола и диетическая кола

Как проводилось исследование

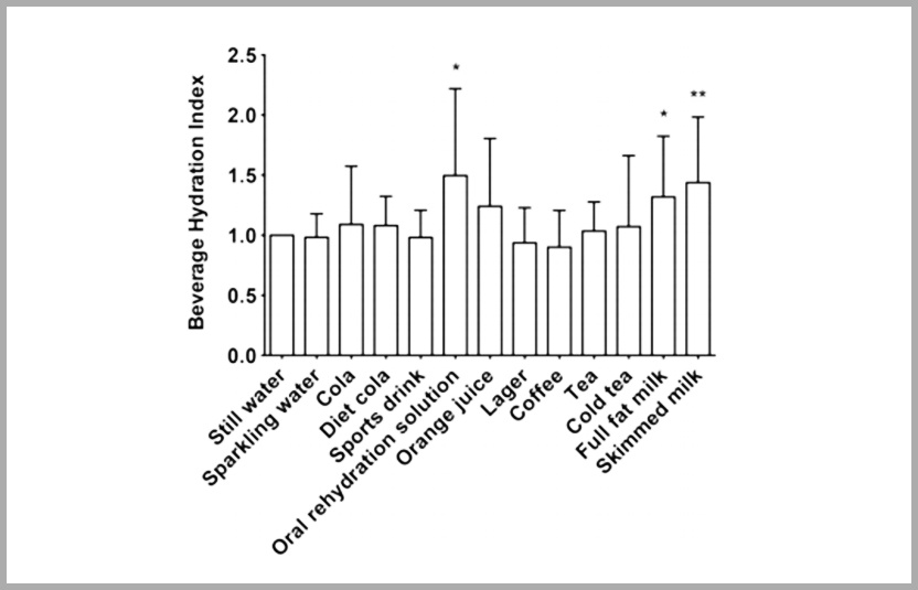
В исследовании сравнивалось, как жидкости удерживаются в организме через 2-4 часа после употребления. Добровольцы выпивали 1 литр напитка, после чего измерялось количество их мочи в течение определенного промежутка времени, чтобы оценить, сколько из выпитой жидкости осталось в организме. Далее, чтобы создать систему сравнения напитков, каждому напитку присваивался рейтинг BHI (Beverage Hydration Index —  Гидратирующий Индекс Напитка). За единицу была взята обычная вода, она получила рейтинг 1. К примеру, если напиток получал BHI 1.3, это означало, что через 2 часа после его употребления в организме удерживалось на 30% напитка больше, чем при употреблении такого же количества обычной воды.

Что показали результаты

-2

Из полученных данных можно сделать несколько интересных выводов. Вот четыре соображения, которые показались мне наиболее заслуживающими внимания:

1. Рискуя утверждать очевидное, я все-таки отмечу, что между газированной и обычной водой не обнаружилось никакой разницы с точки зрения гидрации. Я отмечаю это лишь потому, что мне часто задают вопросы об этом. Однако я не могу понять, почему кому-то может прийти в голову пить газированные напитки во время занятий спортом.

2. С точки зрения удержания жидкости в организме наилучшие результаты показали специальный регидрационный раствор, молоко и апельсиновый сок. Только эти напитки имеют показатели значительно лучше, чем у обычной воды. При этом у регидрационного раствора и молока индекс BHI приближается к 1.5, что означает, что при употреблении этих напитков через 2 часа в организме остается почти на 50% больше жидкости, чем если пить просто воду. Наиболее вероятная причина такого отличия — значительное количество калорий и/или электролитов, содержащееся в этих напитках. Это наиболее справедливо в отношении регидрационного раствора, поскольку он содержит более 1300 мг натрия на литр, а также некоторое количество глюкозы. Такие составляющие, как сахар, жиры и электролиты известны своей способностью задерживать воду в организме, и исследование лишь подтвердило, насколько это эффективно.

3. С другой стороны, напитки, от которых ожидались худшие результаты, чем для воды — кофе и пиво — на деле не показали заметно большего выхода мочи по сравнению с водой. Пиво даже показало себя лучше, чем кофе, возможно из-за содержащихся в нем калорий, замедляющих его прохождение через пищеварительную систему. Важно отметить, что количество алкоголя и кофеина в употребленных во время теста напитках было весьма низким. Увеличение объема выпитого для этих напитков могло бы показать иные результаты.

4. Одним из удививших нас открытий оказалось то, что обычные спортивные напитки не показали себя лучше, чем вода, с точки зрения удержания жидкости в организме. Надо признать, что участвовавший в исследовании напиток не слишком богат электролитами: он содержал 450 мг натрия/литр и 6% углеводов. Это ниже, чем в апельсиновом соке и регидрационном растворе, которые получили заметно более высокий BHI. Именно по этой причине для насыщения жидкостью перед важными стартами я рекомендую напитки с большим количеством электролитов, до 1500 мг/литр. Большое количество натрия поможет вам удерживать жидкость в организме в течение долгого времени.

Практические советы

Хотя многие выводы этого исследования вытекают из здравого смысла, полученные результаты подкрепляют их численными доказательствами. Исследование также опровергает мифы о некоторых напитках, считавшихся обезвоживающими — они таковыми не являются, по крайней мере, при употреблении в небольших количествах. На мой взгляд, основные практические выводы следующие:

  • Напитки с большим количеством калорий, такие как молоко (и если следовать этой логике, напитки для восстановления), помогают противостоять обезвоживанию больше, чем этого можно было ожидать. Поэтому они будут очень полезны после напряженных тренировок, во время которых вы много потеете — калории и жидкость будут способствовать восстановлению. Однако это не означает, что они будут также хороши перед тренировками: дополнительное калорийное питание перед тренировкой или соревнованиями может оказаться лишним для вас и вашего желудка.
  • Растворы с высоким содержанием натрия, от 1000 до 1500 мг/литр, также с большой вероятностью будут удерживаться в организме гораздо дольше, чем просто вода. Поэтому они — гораздо лучший выбор как до, так и во время напряженных занятий спортом, когда вы сильно потеете. Предварительная «заправка жидкостью» может помочь более успешному выступлению в соревнованиях и последующему восстановлению, однако многие спортсмены пренебрегают такими напитками, загружаясь большим количеством воды, которая покидает их организм еще до того, как соревнования начались.
  • Хотя некоторые напитки, традиционно считающиеся обезвоживающими, такие как кофе и пиво, не являются лучшим выбором для целей гидрации, они практически не уступают воде, если употреблять их в небольших количествах. По крайней мере, это заключение может избавить вас от возможного чувства вины, связанного с кружечкой холодного пива после гонки.

О чем умалчивает исследование

Исследование не проливает свет на то, как потребление определенных продуктов и напитков вместе может повлиять на удержание жидкости и выход мочи. Мы не так часто пьем  напитки без еды и на пустой желудок, как это было в исследовании.

Не требуется большого воображения, чтобы сделать вывод, что употребление калорий и/или солей в пищу вместе с жидкостью, вероятно, приведет к увеличению удержания жидкости по сравнению с приемом жидкости в одиночку. Но будем справедливыми по отношению к исследователям: они стремились контролировать как можно больше переменных, чтобы изучить исключительно свойства каждого из напитков. Добавление факторов взаимодействия еды и жидкостей сделало бы исследование крайне сложным.

Это исследование опровергает некоторые заблуждения и дает вам реальные сведения о том, как различные напитки влияют на ваше тело. Теперь вы можете принимать более обоснованные решения о том, что вы пьете до, во время и после тренировок и гонок.

Перевод — Ольга Полякова

Подписывайтесь на наш Телеграм-канал (@strela_coach) и читайте новые статьи!

Рекомендации для вас:

Питьевой режим и водно-солевой баланс

Как бегать и соревноваться в жаркую погоду

Питание для спортсменов: 5 золотых правил

Руководство по питанию до и во время марафона

Способы восстановления для спортсменов в видах спорта на выносливость

Большой спор о сахаре

Питание для восстановления после тренировок

Алкоголь и физические нагрузки — 7 правил для спортсменов