Найти в Дзене

Внимание! За эти ошибки могут списать баллы на ЕГЭ по профильной математике!

Вторая часть ЕГЭ по профильной математике дает очень важное количество баллов. Очень обидно будет потерять 1-2 первичных балла за какую-то глупую ошибку в оформление или в чем-то еще. Именно по этому я запускаю череду статей, в которых буду показывать и объяснять , как делать можно, а как нельзя. Ни для кого не секрет, что у экспертов, которые проверяют ваши задания, есть специальные методички, по которым они будут сверять решение и выносить вас вердикты. Именно по этим нюансам мы будем проходить все это время до самого экзамена! Подпишись на мой телеграмм канал, в котором будет еще больше объяснений, а также живые ответы на ваши вопросы. Также скоро я открываю запись в группы на лето и на осень следующего учебного года. Вся информация также скоро появится в группе ТГ. Задача идеал Естественно, в самом начале рассмотрим как решать задание 13 прямо идеально. Данный пример можете распечатать, положить себе под подушку и перед сном повторять, что сделать нужно именно так. Все преобразован
Оглавление

Вторая часть ЕГЭ по профильной математике дает очень важное количество баллов. Очень обидно будет потерять 1-2 первичных балла за какую-то глупую ошибку в оформление или в чем-то еще. Именно по этому я запускаю череду статей, в которых буду показывать и объяснять , как делать можно, а как нельзя.

Ни для кого не секрет, что у экспертов, которые проверяют ваши задания, есть специальные методички, по которым они будут сверять решение и выносить вас вердикты. Именно по этим нюансам мы будем проходить все это время до самого экзамена!

Подпишись на мой телеграмм канал, в котором будет еще больше объяснений, а также живые ответы на ваши вопросы. Также скоро я открываю запись в группы на лето и на осень следующего учебного года. Вся информация также скоро появится в группе ТГ.

Задача идеал

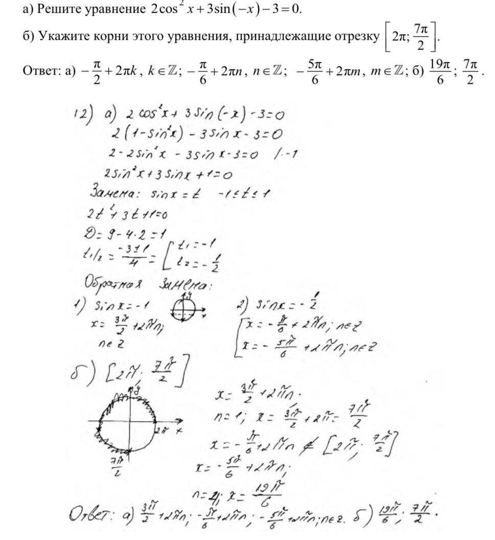
Естественно, в самом начале рассмотрим как решать задание 13 прямо идеально. Данный пример можете распечатать, положить себе под подушку и перед сном повторять, что сделать нужно именно так.

Все преобразования здесь обоснованы, все действия решения верны, придраться не к чему.

В пункте б ученик для начала написал, каким методом будет искать корни уравнения на данном отрезке, указал краи отрезка на окружности, отметил корни, которые будут входить в данную часть окружности и вычислил их.

Да, снять баллы могут за многое. Даже если вы не отметите края дуги, то это будет ошибка. Если укажете корни, которые не входят в ваш отрезок - будет ошибка.

Зачем писать корни, которые не входят? Это же не логично. Если хотите, в черновике укажите эти корни, но на чистовик не переносите ни в коем случае!

И обязательно не забывайте писать ответ. Ответ - это конец вашего решения. Некая черта, которую вы подводите и говорите «все, я сделяль». Без этой черты вы также можете лишиться баллов.

Обидное списание баллов

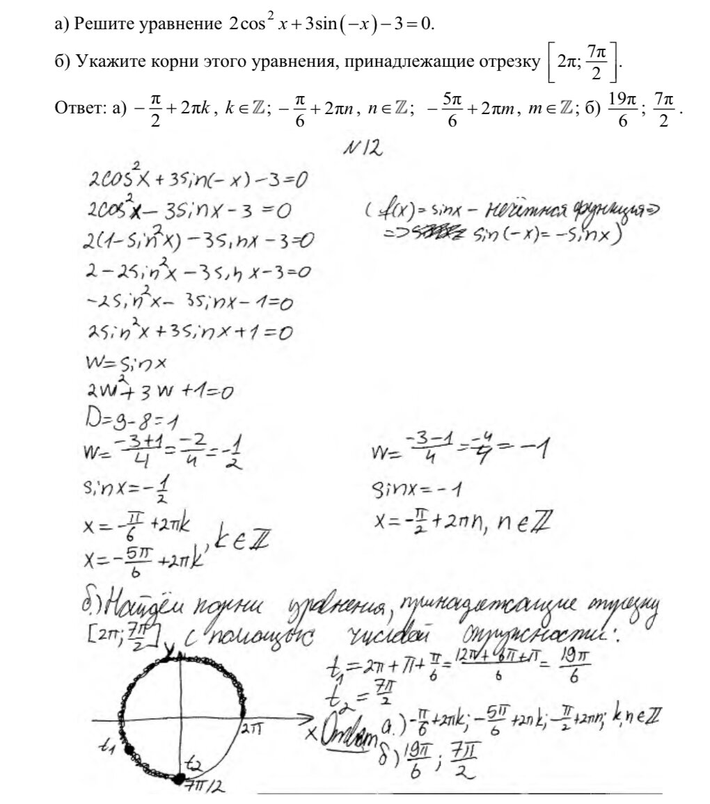
А вот сейчас начнутся примеры, как делать не нужно. Здесь вы можете увидеть идеально выполненную часть А и ошибки в части Б.

-2

Что же за ошибки указаны во второй части данного задания? Во-первых, ученик не указал на окружности корни, которые принадлежат данному отрезку. Во-вторых, он начал выбирать корни и сразу же указал, что Н=1, что не позволительно.

Представьте, что проверяет задание не эксперт, а обычный школьник ниже среднего уровня знаний по математике. У данного школьника не должно возникнуть вопросов по выполнению задания. Напротив, с вашего решения он должен все понять и научиться решать.

С этого примера он подумает, что нужно сразу же подставлять 1 вместо вашего коэффициента. А до значения 1 нужно дойти с помощью перебора других коэффициентов.

За такую ошибку вы лишаетесь одного балла. Обидно, ведь ответ может быть и правильный. Поэтому всегда задавайте себе вопрос, чтобы понял из моего решения не очень умный ученик!

Все те же ошибки

Кто о чем, а я все говорю про тот же самый пример. За что здесь сняли балл ученику?

-3

Когда вы решаете вторую часть методом перебора коэффициентов, не вздумайте просто так останавливать на том числе, которое вам подошло. А вдруг дальше будут еще числа? И вы потеряете корни!

Вообще есть способы решения намного более удобные и приятные. Если вы напишите в комментариях, то я обязательно их разберу.

А на сегодня пока все. Обязательно ставьте лайки статье и пишите комментарии. Именно так я пойму, что вас понравилось и нужно продолжать. А также не забывайте про ТГ канал. Ссылка была в самом начале!

-4