Добавить в корзинуПозвонить
Найти в Дзене

В сеть утекла большая часть заданий ЕГЭ по ПРОФМАТУ? Чего ждать на экзамене?

Экзамен по профильной математике уже итак упростили, да еще теперь начала ходить информация, что у одного инсайдера каждый год очень много совпадений по номерам, которые будут на экзамене. Я нашел данный документ, посмотрел его, изучил и могу сказать, что задания вполне похожи на правду. Нельзя, конечно, с полной уверенностью утверждать, что все эти задания будут, но и опровергать данный факт тоже нельзя. В любом случае, стоит прорешать данные номера и быть готовым к экзамену еще больше. Ну а мы сейчас разберем с вами один вариант, составленный из этого документа. Но перед этим хочу напомнить, что у меня сейчас идет набор на курс "МЕСЯЦ ДО ОГЭ". На данном курсе мы в кратчайшие сроки повторяем весь материал ОГЭ по математике. Курс насчитывает 12 уроков, каждый примерно по 2 часа. Домашние задания, консультации и прочее в курс тоже включены. Записаться на курс вы можете по ссылке в данном абзаце. А вот и сам вариант, который можно составить из данного документа. Естественно, можно замети

Экзамен по профильной математике уже итак упростили, да еще теперь начала ходить информация, что у одного инсайдера каждый год очень много совпадений по номерам, которые будут на экзамене. Я нашел данный документ, посмотрел его, изучил и могу сказать, что задания вполне похожи на правду.

Нельзя, конечно, с полной уверенностью утверждать, что все эти задания будут, но и опровергать данный факт тоже нельзя. В любом случае, стоит прорешать данные номера и быть готовым к экзамену еще больше.

Ну а мы сейчас разберем с вами один вариант, составленный из этого документа.

Но перед этим хочу напомнить, что у меня сейчас идет набор на курс "МЕСЯЦ ДО ОГЭ". На данном курсе мы в кратчайшие сроки повторяем весь материал ОГЭ по математике. Курс насчитывает 12 уроков, каждый примерно по 2 часа. Домашние задания, консультации и прочее в курс тоже включены. Записаться на курс вы можете по ссылке в данном абзаце.

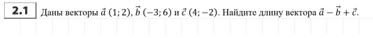
А вот и сам вариант, который можно составить из данного документа.

-2
-3
-4
-5
-6
-7
-8
-9
-10
-11
-12
-13
-14
-15
-16

Естественно, можно заметить, что здесь собран не полный вариант. Больше заданий я не нашел. Но правильно решив все задания с этого варианта можно набрать около 90 баллов по новой шкале.

Вы можете заметить, что в заданиях ничего сложного нет и бояться здесь чего-то не стоит. Наоборот, нужно решить весь этот вариант, решать задания из сборника и тогда вы сможете достичь своей цели.

Кстати, если данная статья получит большой отклик, то я запишу видео разбор данного варианта и выложу все оставшиеся задания. Так что, пишите комментарии, чтобы статья продвинулась, ставьте лайки ну и не забывайте про курс.

-17