Найти в Дзене

Задача из учебника Петерсон для 5-го класса

Встретилась сложная задача из учебника математики Петерсон для 5-го класса. Можно смело брать для подготовки к конкурсам и олимпиадам! Итак, давайте разберём. Таня, Надя и Света собирали грибы. Таня собрала седьмую часть того, что собрали Надя и Света вместе. Надя собрала третью часть того, что собрали вместе Таня и Света. 1) У кого больше грибов и во сколько раз — у Нади или у Тани? 2) Какую часть сбора Светы составляет совместный сбор Нади и Тани? Решение. 1) Обозначим количество грибов у Светы за x, а количество грибова у Нади за y. составим вспомогательную схему. Найдем количество грибов у Тани: Найдем, сколько грибов у Тани и Светы: С одной стороны, у Нади y грибов, а с другой – 1/3 от количества грибов у Тани и Светы. Составим равенство: Нам нужно сравнить количество грибов Тани и Нади. Вернемся к тому количеству грибов, которое собрала Таня и подставим вместо переменной x полученное выше значение: Так как Надя собрала y грибов, значит, она собрала больше грибов в 2 раза. 2) Найд
Оглавление

Встретилась сложная задача из учебника математики Петерсон для 5-го класса. Можно смело брать для подготовки к конкурсам и олимпиадам! Итак, давайте разберём.

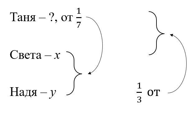
Таня, Надя и Света собирали грибы. Таня собрала седьмую часть того, что собрали Надя и Света вместе. Надя собрала третью часть того, что собрали вместе Таня и Света.
1) У кого больше грибов и во сколько раз — у Нади или у Тани?
2) Какую часть сбора Светы составляет совместный сбор Нади и Тани?

Решение.

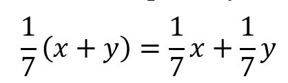
1) Обозначим количество грибов у Светы за x, а количество грибова у Нади за y. составим вспомогательную схему.

Схема автора
Схема автора

Найдем количество грибов у Тани:

Решение автора
Решение автора

Найдем, сколько грибов у Тани и Светы:

Решение автора
Решение автора

С одной стороны, у Нади y грибов, а с другой – 1/3 от количества грибов у Тани и Светы. Составим равенство:

Решение автора
Решение автора

Нам нужно сравнить количество грибов Тани и Нади. Вернемся к тому количеству грибов, которое собрала Таня и подставим вместо переменной x полученное выше значение:

Решение автора
Решение автора

Так как Надя собрала y грибов, значит, она собрала больше грибов в 2 раза.

2) Найдем совместный сбор Тани и Нади:

Решение автора
Решение автора

Вспомним, что в первом пункте мы получили соотношение: x = 5/2y. Найдем, какую часть составляет 3/2y (совместный сбор Тани и Нади) от 5/2y (сбор Светы):

Решение автора
Решение автора

Ответ: 1) Надя собрала больше, чем Таня, в 2 раза; 2) 3/5 часть.

P.S. Возможно, тут можно и нужно проще! Пока не смотрела более просто решение. Но озабочусь ;)

P.P.S. Не успела опубликовать это сложное решение, как нашла более легкое — с помощью схемы! Скоро будет ;)