Добавить в корзинуПозвонить
Найти в Дзене

Как составлять предложения на корейском языке с шаблоном предложения и грамматикой: Глагол + 다 보면

На этом уроке мы научимся составлять предложения с грамматической конструкцией: Глагол + 다 보면 Полный разбор грамматики вы можете найти здесь. Данная грамматическая форма выражает значение «Если вы продолжите действие, то оно приведет к определенному результату». Образуется: Основа глагола + 다 보면 А теперь попрактикуемся и возьмём предложение: Если продолжишь учиться, то хорошо сдашь экзамен. Необходимые слова: 계속(продолжать); 공부를 하다 (учиться); 시험 (экзамен); 합격하다 (сдавать) Начнем делать перевод предложения. Разложим и сопоставим слова согласно шаблону и будем соблюдать такую же очередность. При подборе окончаний и грамматики нужно соблюдать правила их использования. Их можно будет найти в конце статьи. Подставляем необходимые слова в схему и получаем готовое предложение: Способ использования системы KIGAI сможете увидеть по ссылке ниже: KIGAI Карта спряжения глагола Правила при подборе окончаний и грамматики

На этом уроке мы научимся составлять предложения с грамматической конструкцией: Глагол + 다 보면

Полный разбор грамматики вы можете найти здесь.

Данная грамматическая форма выражает значение «Если вы продолжите действие, то оно приведет к определенному результату».

Образуется:

Основа глагола + 다 보면

А теперь попрактикуемся и возьмём предложение:

Если продолжишь учиться, то хорошо сдашь экзамен.

Необходимые слова:

계속(продолжать); 공부를 하다 (учиться); 시험 (экзамен); 합격하다 (сдавать)

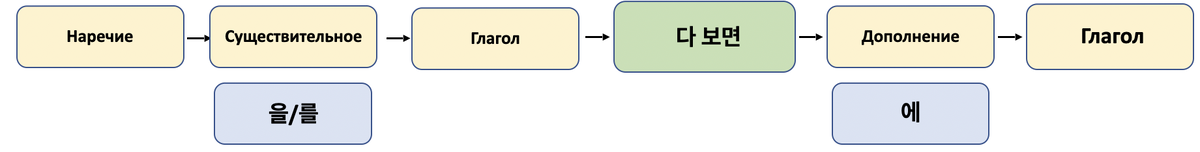
Начнем делать перевод предложения. Разложим и сопоставим слова согласно шаблону и будем соблюдать такую же очередность. При подборе окончаний и грамматики нужно соблюдать правила их использования. Их можно будет найти в конце статьи.

-2

Подставляем необходимые слова в схему и получаем готовое предложение:

-3

Способ использования системы KIGAI сможете увидеть по ссылке ниже:

KIGAI

Карта спряжения глагола

Правила при подборе окончаний и грамматики

-4