Добавить в корзинуПозвонить
Найти в Дзене
Цифровая Переплавка

🔬Как реализовать GRPO от DeepSeek с нуля и что из этого может выйти

Пару дней назад я наткнулся на проект, который привлёк моё внимание сразу по двум причинам: 📌 Во-первых, это реализация свежего алгоритма обучения языковых моделей GRPO (Group Relative Policy Optimization), недавно предложенного командой DeepSeek.
📌 Во-вторых, авторы заявляют, что реализовали этот алгоритм практически полностью с нуля, минимизировав зависимости и сделав ставку только на PyTorch и простейшие токенизаторы. Мне стало любопытно — возможно ли воспроизвести и успешно использовать современный алгоритм reinforcement learning без тяжеловесных библиотек вроде Hugging Face Transformers и vLLM? Спойлер: оказывается, ещё как возможно! GRPO — это метод обучения с подкреплением, который DeepSeek предложили для тонкой настройки языковых моделей (LLM). Его основной плюс — простота и минимальное использование вычислительных ресурсов. В стандартных методах типа PPO (Proximal Policy Optimization) обычно требуется: 🔸 Отдельная сеть оценки значений (value network).
🔸 Дополнительный конт
Оглавление

Пару дней назад я наткнулся на проект, который привлёк моё внимание сразу по двум причинам:

📌 Во-первых, это реализация свежего алгоритма обучения языковых моделей GRPO (Group Relative Policy Optimization), недавно предложенного командой DeepSeek.
📌 Во-вторых, авторы заявляют, что реализовали этот алгоритм практически полностью с нуля, минимизировав зависимости и сделав ставку только на PyTorch и простейшие токенизаторы.

Мне стало любопытно — возможно ли воспроизвести и успешно использовать современный алгоритм reinforcement learning без тяжеловесных библиотек вроде Hugging Face Transformers и vLLM?

Спойлер: оказывается, ещё как возможно!

🤖 Чем интересен алгоритм GRPO?

GRPO — это метод обучения с подкреплением, который DeepSeek предложили для тонкой настройки языковых моделей (LLM). Его основной плюс — простота и минимальное использование вычислительных ресурсов.

В стандартных методах типа PPO (Proximal Policy Optimization) обычно требуется:

🔸 Отдельная сеть оценки значений (value network).
🔸 Дополнительный контроль через KL-дивергенцию для стабилизации процесса обучения.

GRPO отказался от обоих этих компонентов:

✅ Вместо оценки ценности (value), GRPO сравнивает ответы модели на один вопрос между собой. Это означает, что алгоритм генерирует несколько вариантов ответа, затем оценивает преимущество каждого ответа, используя нормализованную награду (reward). Это полностью избавляет от необходимости использовать сеть оценки значений.

✅ Также команда DeepSeek убрала KL-дивергенцию из функции потерь, сократив использование памяти GPU (нет необходимости в дополнительной сети референсной политики).

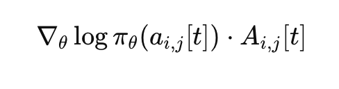
Технически всё сводится к простому пошаговому процессу:

🔹 На каждой итерации обучения выбираем N вопросов.
🔹 Для каждого вопроса генерируем M вариантов ответов.
🔹 Считаем награды и вычисляем среднее и стандартное отклонение для ответов на каждый вопрос.
🔹 Определяем преимущество каждого ответа на уровне отдельных токенов (token-level advantage).
🔹 Используем простую формулу градиента политики для обновления модели:

-2

🎯 На чём протестировали алгоритм?

Авторы выбрали для теста задачу под названием CountDown — математическую головоломку, где нужно составить из заданного набора чисел выражение, равное некоторому целевому числу.

Например:

Задача: Даны числа 1 2 3 4 и целевое число 11. Нужно составить выражение, которое даёт 11.
Решение: 1 + (2 * 3) + 4

Модель обучается генерировать решение в формате:

<think>Шаги логических рассуждений модели</think>
<answer>Итоговый ответ</answer>

Награда модели складывается из двух частей:

🎖 Формат ответа (0.1 балла) — если модель правильно соблюдает разметку <think> и <answer>.
🎯
Правильность ответа (1 балл) — если выражение использует все заданные числа ровно по одному разу и вычисляется корректно.

⚙️ Технические детали реализации

Проект реализован очень аккуратно и минималистично:

🔧 Используется только PyTorch и базовые токенизаторы (без громоздких зависимостей).
🚫 Нет трансформеров и нет сложных фреймворков вроде vLLM.
⏱ Авторы указывают, что одна GPU (например, Nvidia A40 с 48 ГБ памяти за $0.44/час) позволяет достичь хороших результатов буквально за несколько часов обучения.

Также реализованы некоторые дополнительные фишки, которые улучшают стабильность и эффективность обучения:

🧹 Фильтрация слишком длинных эпизодов — позволяет не использовать эпизоды, выходящие за пределы контекста, что стабилизирует обучение. По умолчанию выключено, но при желании можно включить.
🎚
Токен-ориентированный градиент политики — каждый токен оценивается отдельно, что помогает детальнее понять вклад каждого элемента генерации в итоговый результат.

🚀 Что лично мне понравилось в этом проекте?

Лично меня очень вдохновляет такой подход, когда авторы берут сложную идею и упрощают её до минимальной рабочей реализации. Что особенно круто — при этом алгоритм не теряет в эффективности и демонстрирует хорошие результаты даже на небольших GPU.

🔸 Минималистичная реализация GRPO без лишних библиотек — это отлично для понимания механики алгоритма.
🔸 GRPO сам по себе перспективный метод для тонкой настройки LLM, особенно там, где требуется очень точная обратная связь на основе вознаграждения (reward).
🔸 Сам проект прекрасно документирован и имеет открытую лицензию Apache-2.0, что позволяет свободно использовать и модифицировать код.

📌 Мои мысли по дальнейшему развитию проекта

В будущем было бы интересно увидеть:

🔭 Интеграцию с другими типами задач (например, генерация текста или RLHF).
🔨 Добавление механизмов контроля за качеством генераций, чтобы минимизировать галлюцинации.
📊 Поддержку мониторинга обучения и визуализации прогресса модели через интерфейсы типа TensorBoard.

Но даже в текущем виде проект уже является отличной отправной точкой для экспериментов с reinforcement learning в контексте языковых моделей.

🔗 Источники и ссылки:

📌 Оригинальный репозиторий с реализацией GRPO от авторов проекта:
👉
policy-gradient/GRPO-Zero на GitHub

📌 Документация по исходному алгоритму GRPO от DeepSeek и ссылки на связанные проекты есть в Readme проекта.

📝 Итого: GRPO — это отличный пример того, как свежий подход в reinforcement learning можно реализовать практически с нуля и получить при этом мощный инструмент для тонкой настройки нейросетевых моделей.

Надеюсь, моя статья вдохновила вас попробовать что-то подобное самим! 🚀🌟