Найти в Дзене
Тесты_математика

Упростите это выражение с радикалами: (√6 + √4 + √2)/(√6 - √4 + √2)

Приветствую читателей и подписчиков канала Тесты_математика! Продолжаем решать задачи по упрощению выражений с радикалами.Одной из таких задачи является данная задача. Задача. Упростите выражение с радикалами: (√6 + √4 + √2)/(√6 - √4 + √2) Метод, который используется при решении таких задач, это избавление радикалов или корней в знаменателе. Для чего представим исходное выражение в следующем виде. [(√6 + √4 + √2) * (√6 + √4 + √2)]/[(√6 - √4 + √2) * (√6 + √4 + √2)]. Мы преобразовали исходное выражение следующим образом: Получим следующие выражения. [(√6 + √2) + √4]^2 / [(√6 + √2).^2- √4^2]. Внимательно раскрываем скобки, ек упустив мелочи. В числителе раскрываем квадрат суммы [(√6 + √2) + √4]^2, а в знаменателе раскрываем разность квадратов. [(√6 + √2)^2 - √4^2]. Кадры видео покажут на моменты преобразования в форме написания решения на доске. И более подробно и понятно написанным текстом все преобразования можно просмотреть в видео. смотрите видео в широком формате, так как вид
Оглавление

Приветствую читателей и подписчиков канала Тесты_математика!

Продолжаем решать задачи по упрощению выражений с радикалами.Одной из таких задачи является данная задача.

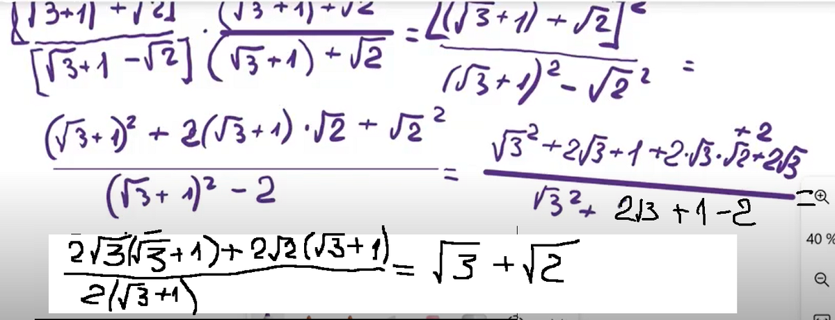
Задача.

Упростите выражение с радикалами: (√6 + √4 + √2)/(√6 - √4 + √2)

Метод, который используется при решении таких задач, это избавление радикалов или корней в знаменателе. Для чего представим исходное выражение в следующем виде.

[(√6 + √4 + √2) * (√6 + √4 + √2)]/[(√6 - √4 + √2) * (√6 + √4 + √2)].

Мы преобразовали исходное выражение следующим образом:

  • умножим на выражение, сопряжённое знаменателю,
  • на это же выражение умножим и числитель, чтобы результат не изменился. Умножим на [(√6 + √4 + √2)] и числитель и знаменатель.

реши кор 6 кор 4 кор2.тестмас.png
реши кор 6 кор 4 кор2.тестмас.png

Получим следующие выражения.

[(√6 + √2) + √4]^2 / [(√6 + √2).^2- √4^2].

Внимательно раскрываем скобки, ек упустив мелочи. В числителе раскрываем квадрат суммы [(√6 + √2) + √4]^2, а в знаменателе раскрываем разность квадратов.

[(√6 + √2)^2 - √4^2].

Кадры видео покажут на моменты преобразования в форме написания решения на доске. И более подробно и понятно написанным текстом все преобразования можно просмотреть в видео.

смотрите видео в широком формате, так как видео в Дзене стали показывать с постоянным рекламным объявлением. Выделяем под каждым корнем множитель 2.

[(√(3 * 2) + √2) + √2 * 2]^2 / [(√(3 * 2) + √2)^2- √(2 * 2)^2]. =

(√2/√2) * [(√3 + √2) + √2 ]^2 / [√(3 + √2)^2 - √2 ^2]

Скрин решения.

реши кор 6 кор 4 кор2.тестмасcскрин.png
реши кор 6 кор 4 кор2.тестмасcскрин.png

Видео.

Пишите в комментариях ваш способ решения.

Спасибо за просмотр статьи, условия задачи и решение.

Пишите вопросы в комментариях.

Подпишитесь на канал, Тесты_математика!

чтобы не пропустить новые публикации!

-3

#задачи на логику, #головоломки, #математика, #тест