Найти в Дзене
Решаем вместе

Вероятность и статистика. Испытания Бернулли. Задача №4.

Сколько элементарных событий в серии из 8 испытаний Бернулли благоприятствует: а) 2 успехам;
б) 6 успехам;
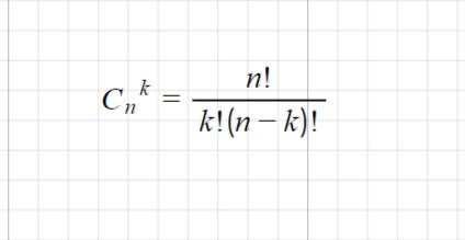
в) 5 успехам? Это достаточно простое задание. Для решения понадобится формула числа исходов: Решение: Ответ: а) 28; б) 28; в) 56

Сколько элементарных событий в серии из 8 испытаний Бернулли благоприятствует:

а) 2 успехам;
б) 6 успехам;
в) 5 успехам?

Это достаточно простое задание. Для решения понадобится формула числа исходов:

Решение:

-2

Ответ: а) 28; б) 28; в) 56