Добавить в корзинуПозвонить
Найти в Дзене
XX2 ВЕК

Сколько секунд в килограмме

Вопрос может показаться совершенно абсурдным, ведь в килограммах измеряется масса, а в секундах — время. Тем не менее, внезапно, некоторый смысл в нём всё-таки есть. Каким образом люди вводят единицы измерения? Ну, самый очевидный способ ввести единицу измерения — задать эталон. А самый очевидный способ задать эталон — выбрать что-то, что всегда под рукой. Например, саму руку. Или ногу. Именно оттуда проистекают наиболее архаичные единицы измерения: фут — длина ступни, локоть — расстояние от кончиков пальцев до, собственно, локтя, и так далее. Это очень удобно, поскольку в этом случае «линейка» всегда с собой. Однако очень неудобно, что у каждого эта линейка своя собственная. Длиннорукому из-за этого более выгодно покупать, но менее выгодно продавать, что, конечно, ощутимо вредит обмену. По этой причине на торговых площадях зачастую выставлялись усреднённые эталоны длин и весов, а пользоваться какими-то иными нередко вообще запрещалось. Однако даже универсальный эталон имеет свой минус
Международный прототип (эталон) килограмма хранится в Международном бюро мер и весов (расположено в Севре близ Парижа) и представляет собой цилиндр диаметром и высотой 39,17 мм из сплава платины и иридия (90% платины, 10% иридия).
Международный прототип (эталон) килограмма хранится в Международном бюро мер и весов (расположено в Севре близ Парижа) и представляет собой цилиндр диаметром и высотой 39,17 мм из сплава платины и иридия (90% платины, 10% иридия).

Вопрос может показаться совершенно абсурдным, ведь в килограммах измеряется масса, а в секундах — время. Тем не менее, внезапно, некоторый смысл в нём всё-таки есть.

Каким образом люди вводят единицы измерения?

Ну, самый очевидный способ ввести единицу измерения — задать эталон. А самый очевидный способ задать эталон — выбрать что-то, что всегда под рукой. Например, саму руку. Или ногу.

Именно оттуда проистекают наиболее архаичные единицы измерения: фут — длина ступни, локоть — расстояние от кончиков пальцев до, собственно, локтя, и так далее. Это очень удобно, поскольку в этом случае «линейка» всегда с собой. Однако очень неудобно, что у каждого эта линейка своя собственная. Длиннорукому из-за этого более выгодно покупать, но менее выгодно продавать, что, конечно, ощутимо вредит обмену.

По этой причине на торговых площадях зачастую выставлялись усреднённые эталоны длин и весов, а пользоваться какими-то иными нередко вообще запрещалось.

Однако даже универсальный эталон имеет свой минус: его можно выставить на какой-то торговой площади или даже скопировать для всех площадей города, но, к сожалению, чем больше расстояния, тем труднее развозить эталоны и повсеместно их внедрять. Хотелось бы что-то более универсальное: то, что как бы «при себе», но при этом везде одинаковое.

Но что это? Что является везде одинаковым? Сходу приходит в голову разве что размер Луны в небе.

Тем не менее, есть ещё одна штука, которую довольно точно научились измерять весьма давно. Это — время.

Продолжительность года — одна и та же для всей планеты. Если поделить её на равные порции, то и порции тоже будут одними для всех.

Осталась сущая ерунда — научиться измерять массу в секундах. Но не бред ли это?

Ну, внезапно, этот фокус оказывается возможным проделать всего за два шага.

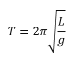
Период колебания маятника зависит от его длины по довольно простой формуле:

-2

В знаменателе там находится ускорение свободного падения, которое тоже в первом приближении одно на всю планету. Как и константа π.

Как-то так и появляется определение «метра»: длина маятника, половина периода колебания которого — одна секунда. Так мы соотнесли единицы измерения времени с единицами измерения расстояния.

Плотность пресной воды при этом тоже одна на всю планету. Следовательно, за эталон массы можно взять массу определённого объёма воды — в нашем случае литра. То есть объёма…

-3

Таким образом килограмм оказался косвенно привязан к секунде.

Правда, к сожалению, очень ненадолго.

Во-первых, маятники, несмотря на одинаковость секунд по всей планете, находятся в не совсем одинаковых условиях: Земля-то вращается. По этой причине период колебаний одного и того же маятника будет чуть-чуть варьировать, в зависимости от удалённости от экватора.

Во-вторых, вода при разной температуре имеет разную плотность. И таким образом килограмм придётся привязать ещё и к единицам измерения температуры.

В-третьих, измерить протяжённость года с высокой точностью, а потом поделить его на совершенно равные части, тоже непростое развлечение.

В-четвёртых, не всем нравилось, что секунда — слишком некратная на фоне всех остальных единиц. Их 60 штук в минуте, минут — 60 в часе, часов в сутках — вообще 24, и так далее. Людям вполне логично хотелось избавиться от этих сложностей и сделать всего по 100 или по 10 (и, надо отметить, я эту идею всецело поддерживаю — жаль, её так и не приняли).

В общем, метр с длины соответствующего маятника был переопределён на долю длины меридиана, проходящего через Париж.

Килограмм же был привязан к кубическому дециметру воды при температуре в 4°C, а потом — на всякий случай — к изготовленному по результатам измерений эталону.

В дальнейшем, когда появились ещё более точные приборы, метр снова поменял определение. Теперь он стал равен расстоянию, проходимому светом за

-4

А секунда — 9 192 631 770 периодам излучения, при переходе между двумя сверхтонкими уровнями основного состояния атома цезия-133.

Килограмм же предлагают определить, как ту массу, при которой постоянная Планка (главная константа квантовой механики) имеет то значение, которое сейчас считается соответствующим ей:

-5

Как можно видеть, изначальная идея — привязать все меры к физическим явлениям — оказалась весьма удачной. Новые привязки ещё более универсальны, чем прежние, но смысл тот же: надо взять в качестве эталона то, за постоянство чего отвечает не человек, а сама природа.

И единицы измерения по-прежнему оказываются связанными не только с физическими явлениями, но и друг с другом: по колебаниям атома цезия определяем единицу измерения времени, потом измеряем скорость света и умножаем её на нужное количество секунд, чтобы определить единицу измерения длины, а потом из постоянной Планка, имея две уже определённые единицы извлекаем последнюю там оставшуюся: килограмм.

Причём, что интересно, хотя нынешние единицы слегка отличаются от прошлых, отличаются они именно что «слегка». Новые определения подбирались так, чтобы соответствующие им единицы были как можно ближе к исходным, поэтому с довольно большой точностью секунда всё ещё связана с продолжительностью года, метр — с колебаниями соответствующего маятника, а килограмм с массой кубического дециметра воды при определённой температуре.

Автор — Лекс Кравецкий, для «XX2 ВЕКа».

Вам также может быть интересно: