Добавить в корзинуПозвонить
Найти в Дзене
Ferra.ru

Грамматические ошибки действительно вызывают стресс у людей: это недавно выяснили учёные

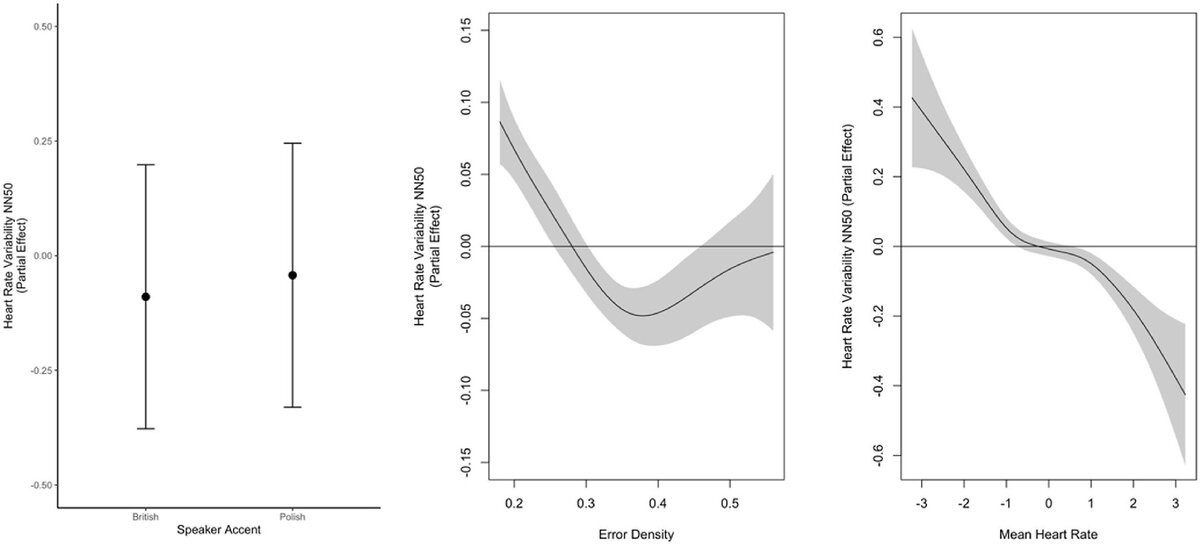
Новое исследование профессоров Бирмингемского университета показало, что организм человека переходит в режим стресса, когда тот слышит грамматические ошибки. Опубликованы все результаты этой работы в журнале Neurolinguistics. Профессор Дагмар Дивьяк, научный сотрудник когнитивной лингвистики и языкового познания в Университете Бирмингема, и Петар Милин, профессор психологии языка и изучения языка, обнаружили в ходе нового исследования прямую связь между состоянием сердца людей и ошибками в грамматике. Когда человек слышал грамматические ошибки, у снижалась вариабельность сердечного ритма (ВСР). И чем больше ошибок было, тем более регулярным становилось сердцебиение человека, а это - признак стресса. Материалы новостного характера нельзя приравнивать к назначению врача. Перед принятием решения посоветуйтесь со специалистом.

Новое исследование профессоров Бирмингемского университета показало, что организм человека переходит в режим стресса, когда тот слышит грамматические ошибки. Опубликованы все результаты этой работы в журнале Neurolinguistics.

Профессор Дагмар Дивьяк, научный сотрудник когнитивной лингвистики и языкового познания в Университете Бирмингема, и Петар Милин, профессор психологии языка и изучения языка, обнаружили в ходе нового исследования прямую связь между состоянием сердца людей и ошибками в грамматике.

   Journal of Neurolinguistics (2023)
Journal of Neurolinguistics (2023)

Когда человек слышал грамматические ошибки, у снижалась вариабельность сердечного ритма (ВСР). И чем больше ошибок было, тем более регулярным становилось сердцебиение человека, а это - признак стресса.

Материалы новостного характера нельзя приравнивать к назначению врача. Перед принятием решения посоветуйтесь со специалистом.