Добавить в корзинуПозвонить
Найти в Дзене
Про всё

Описание экспоненциальной зависимости методом наименьших квадратов (МНК)

Подобным видом зависимости часто описывают многие процессы, происходящие как в природе, так и на антропогенном поприще, в связи с чем подобный вид функции имеет прикладное значение. В предыдущих статьях мы наглядно продемонстрировали принцип описания линейной и квадратичной зависимостей методом наименьших квадратов (МНК). Этими двумя простейшими случаями не исчерпывается возможность применения данного метода. Еще одним важным и распространенным случаем зависимостей является экспоненциальная. В настоящей статье попробуем разобраться как описать экспоненциальную зависимость с помощью метода наименьших квадратов на наиболее элементарном примере. Последовательность действий остается прежней, однако стоит обратить внимание, что при работе с уравнением вида y=exp(ax) сначала надо привести его к линейному виду, а именно - логарифмировать обе части уравнения, использовав натуральный логарифм. Обратим внимание, что искомой неизвестной является коэффициент а. Далее вычисляем частную производную
Подобным видом зависимости часто описывают многие процессы, происходящие как в природе, так и на антропогенном поприще, в связи с чем подобный вид функции имеет прикладное значение.

В предыдущих статьях мы наглядно продемонстрировали принцип описания линейной и квадратичной зависимостей методом наименьших квадратов (МНК). Этими двумя простейшими случаями не исчерпывается возможность применения данного метода. Еще одним важным и распространенным случаем зависимостей является экспоненциальная.

Зависимость y - x
Зависимость y - x

В настоящей статье попробуем разобраться как описать экспоненциальную зависимость с помощью метода наименьших квадратов на наиболее элементарном примере.

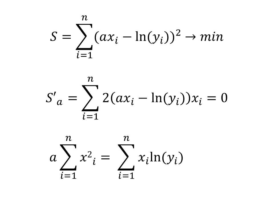
Последовательность действий остается прежней, однако стоит обратить внимание, что при работе с уравнением вида y=exp(ax) сначала надо привести его к линейному виду, а именно - логарифмировать обе части уравнения, использовав натуральный логарифм. Обратим внимание, что искомой неизвестной является коэффициент а.

Далее вычисляем частную производную суммы квадратов отклонений по неизвестному коэффициенту и приравниваем её к нулю (с целью минимизации суммы квадратов отклонений). Приводим полученное уравнение к удобному и наглядному виду.

Вычисление частной производной и приравнивание её к нулю. Приведение уравнение к наглядному виду
Вычисление частной производной и приравнивание её к нулю. Приведение уравнение к наглядному виду

Задача сводится к решению линейного уравнения, причем одного, так как мы имеем всего 1 неизвестную. y и x нам даны, так как мы описываем зависимость по известным "экспериментальным" точкам. Дальнейшие вычисления приведём на примере конкретных значений.

Поиск неизвестного коэффициента а
Поиск неизвестного коэффициента а

Для простоты и наглядности последовательность вычислений приведена в таблице (слева направо).

  • Сначала определяем значения произведений, степеней и т.п. для каждой "точки".
  • Далее производим их сложение в пределах столбцов.
  • Коэффициент а вычисляется в соответствии с последней формулой предыдущего рисунка (делим одну сумму на другую).

Определив искомый коэффициент, можно подставить его в заданную исходную формулу. Таким образом, мы получили формулу с уже известным коэффициентом, которая описывает нашу "экспериментальную" зависимость. Для наглядности результат приведём графически.

Описание МНК экспоненциальной зависимости
Описание МНК экспоненциальной зависимости

Также рекомендуем к просмотру наши статьи по описанию линейной и квадратичной зависимостей Методом наименьших квадратов.

  • Спасибо Вам за уделённое время!
    Подписывайтесь на канал и не забывайте высказывать любые пожелания в комментариях. До скорых встреч!