Добавить в корзинуПозвонить
Найти в Дзене

Бо-о-ольшой вопрос для нотариуса (решение)

Для того, чтобы верно повести себя, и нотариусу и судье, который будет рассматривать возможное постановление об отказе в совершении нотариального действия, надо быть знакомыми с математикой. Если не знать математики, то невозможно выяснить и действительность этого договора, а тем более, обосновать вывод. Напомню, задача звучит так: Обратим внимание на то, как возникают обязательства в этом договоре, в какие моменты. Этот договор — действительно договор купли-продажи, а договор купли-продажи — консенсуальный, продавец не обязан в момент заключения договора иметь в собственности товар. Тут проверять нечего. В договоре предусматривается возникновение обязательства передать товар после того, как будет исполнено уже возникшее обязательство уплатить цену. Заметьте, речь идёт не об исполнении обязательств в договоре, а о моментах их возникновения. До возникновения обязательств они исполнены быть не могут, так как не существуют. Значит, надо определить сначала, когда, собственно, возникает обя
Оглавление

Для того, чтобы верно повести себя, и нотариусу и судье, который будет рассматривать возможное постановление об отказе в совершении нотариального действия, надо быть знакомыми с математикой. Если не знать математики, то невозможно выяснить и действительность этого договора, а тем более, обосновать вывод.

Напомню, задача звучит так:

Обратим внимание на то, как возникают обязательства в этом договоре, в какие моменты.

Этот договор — действительно договор купли-продажи, а договор купли-продажи — консенсуальный, продавец не обязан в момент заключения договора иметь в собственности товар. Тут проверять нечего. В договоре предусматривается возникновение обязательства передать товар после того, как будет исполнено уже возникшее обязательство уплатить цену. Заметьте, речь идёт не об исполнении обязательств в договоре, а о моментах их возникновения. До возникновения обязательств они исполнены быть не могут, так как не существуют.

Значит, надо определить сначала, когда, собственно, возникает обязательство уплатить цену товара.

Вот как написано это в договоре:

... возникают после заключения этого договора в первый день того года, номер которого является числом Маркова или числом Пелля по летоисчислению, принятому в месте заключения этого договора, но не позднее двух лет с момента заключения этого договора, по истечении названных двух лет обязательства не возникают ни в каком случае.

Договор предполагается к заключению в 2023 году. Значит, обязательство это может возникнуть 1 января 2024 года или 1 января 2025 года. Осталось проверить являются ли числа 2024 и 2025 числами Маркова или числами Пелле.

Числа Маркова

Вот определение чисел Маркова:

числа Маркова это числа, являющиеся корнями диофантова уравнения ++ = 3xyz.

Например, такими числами являются числа 1, 2, 5, 13, 29, 34, 89, 169, 194, 233, 433, 610, 985, 1325, 1597, 2897, 4181, 5741, 6466, 7561, 9077, 10946, 14701, 28657, 33461, 37666, 43261, 51641, 62210, 75025, 96557, 135137, 195025, 196418, 294685, 426389, 499393, 514229, 646018, 925765... остальные все ещё больше. Можно заметить, что ближайшими к 2023 числами Маркова являются числа 1597 и 2897. Ни 2024, ни в 2025 — не числа Маркова.

Числа Пелля

Числа Пелля это

знаменатели подходящих дробей, которые приближают корень квадратный из 2.

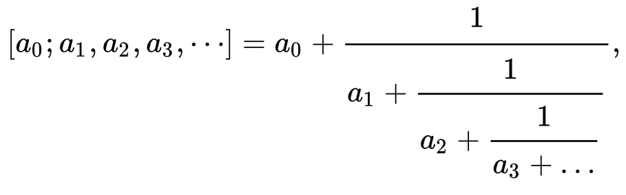
Цепной дробью называется математическое выражение вида:

-2

а₀ тут непременно целое число, а все остальные аₖ — натуральные числа. Числа [a; a, a, a, …] называются неполными частными цепной дроби или элементами цепной дроби.

nподходящей дробью для цепной дроби x=[a; a, a, a, …] называется конечная цепная дробь с элементами [a; a,…,aₙ], значение которой есть некоторое рациональное число p/qₙ.
Подходящие дроби с чётными номерами образуют возрастающую последовательность, предел которой равен
x. Аналогично, подходящие дроби с нечётными номерами образуют убывающую последовательность, предел которой также равен x. Таким образом, значение цепной дроби всегда находится между значениями соседних подходящих дробей.

Числа Пелля могут быть заданы рекуррентным соотношением:

-3

Нетрудно проверить, что они — знаменатели конечных дробей бесконечной цепной дроби вида [1; 2, 2, 2, ...], а квадрат этой бесконечной цепной дроби как раз равен 2. Вообще-то эти числа были известны ещё математикам Индии в третьем или четвёртом столетии до нашей эры, которые умели приближать корень квадратный из двух.

Например, числами Пелля (так их назвал Л. Эйлер, хотя, говоря строго, название это ошибочно к Джону Пеллю они особого отношения не имеют) являются числа 0, 1, 2, 5, 12, 29, 70, 169, 408, 985, 2378, 5741, 13860, 33461, 80782, 195025, 470832, 1136689, 2744210, 6625109, 15994428, 38613965, 93222358, 225058681, 543339720, 1311738121, 3166815962, 7645370045, 18457556052, 44560482149, 107578520350, 259717522849...

Как видим, 2023 год находится между числами 985 и 2378, значит, ни 2024, ни 2025 никак не являются числами Пелля.

-4

Итак, 2024 и 2025 годы не являются ни числами Пелля, ни числами Маркова. А это значит, что договор составлен так, что он не направлен на возникновение никаких обязательств вообще. При презумпции разумности составляющих такие договоры (добросовестность тут, как видим, опровергается чисто математически) следует считать, что они не могли не знать, что обязательства в указанные два года никак не возникнут. По определению такие договоры являются мнимыми, следовательно, в соответствии со ст. 170 ГК РФ речь идёт о недействительной сделке. И именно на этом основании нотариус обязан отказать в нотариальном удостоверении его, приведя указанное обоснование, имея в виду, что придётся доказать, что ни число 2024, ни число 2025 не является ни числом Маркова, ни числом Пелле.

А вот если только нотариус заверит такую сделку, то он будет отвечать за это. Но я не вполне уверен, что любой нотариус сможет понять, что сделка именно недействительна и сможет обосновать своё постановление.