Добавить в корзинуПозвонить
Найти в Дзене

СПОСОБНОСТЬ РАЗНЫХ НАПИТКОВ ЗАДЕРЖИВАТЬ ВОДУ (РКИ)

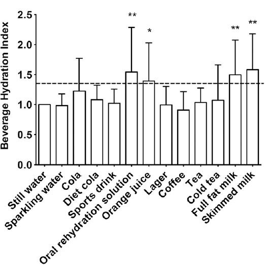
Рандомизированное исследование по оценке способности различных напитков влиять на состояние гидратации: разработка индекса гидратации напитка Было набрано 24 здоровых, физически активных мужчины в возрасте от 18 до 35 лет. Напитки: газированная вода, Coca-Cola, Diet Coke, Powerade, раствор для пероральной регидратации (РПР), апельсиновый сок, светлое пиво, горячий черный кофе, горячий черный чай, холодный черный чай, цельное молоко (3,6% жирности) или обезжиренное молоко (0,1% жирности). Через 2 часа жирное молоко, обезжиренное молоко, РПР и апельсиновый сок имели более высокий индекс гидратации BHI, чем негазированная вода. Рассчитанный индекс гидратации показал, что напитки с самым высоким содержанием макронутриентов и электролитов были наиболее эффективными для поддержания баланса жидкости. В настоящем исследовании РПР и молочные напитки содержали относительно высокие концентрации натрия и калия, апельсиновый сок содержал умеренное количество калия, а остальные напитки содержали от

Рандомизированное исследование по оценке способности различных напитков влиять на состояние гидратации: разработка индекса гидратации напитка

Было набрано 24 здоровых, физически активных мужчины в возрасте от 18 до 35 лет.

Напитки: газированная вода, Coca-Cola, Diet Coke, Powerade, раствор для пероральной регидратации (РПР), апельсиновый сок, светлое пиво, горячий черный кофе, горячий черный чай, холодный черный чай, цельное молоко (3,6% жирности) или обезжиренное молоко (0,1% жирности).

Через 2 часа жирное молоко, обезжиренное молоко, РПР и апельсиновый сок имели более высокий индекс гидратации BHI, чем негазированная вода.

Рассчитанный индекс гидратации показал, что напитки с самым высоким содержанием макронутриентов и электролитов были наиболее эффективными для поддержания баланса жидкости.

В настоящем исследовании РПР и молочные напитки содержали относительно высокие концентрации натрия и калия, апельсиновый сок содержал умеренное количество калия, а остальные напитки содержали относительно незначительные концентрации этих электролитов. Примечательно, что напитки с самым высоким содержанием электролитов, как правило, имели самый высокий индекс гидратации.

В настоящем исследовании мы не наблюдали влияния умеренного потребления кофеина (96–212 мг) на чистый баланс жидкости. Более того, содержание алкоголя в лагере не увеличивало диурез по сравнению с другими напитками.

В ИТОГЕ МОЛОКО ЗАДЕРЖИВАЕТ ВОДУ КАК ИЗОТОНИК))

A randomized trial to assess the potential of different beverages to affect hydration status: development of a beverage hydration index