Добавить в корзинуПозвонить
Найти в Дзене
TechInsider

Как сварить идеальное яйцо с точки зрения науки: гениальные советы от ученых

Исследователи давно смогли вывести формулу, которая помогает рассчитать время варки идеального яйца. Им даже удалось превратить ее в простой онлайн-калькулятор. Сейчас расскажем! Как сварить идеальное яйцо: простой способ Итак, что нужно? Положить яйцо в кипящую воду и оставить на пару минут. Кто-то помещает яйца в холодную воду и ставит на плиту, но этот способ усложняет расчеты, поэтому лучше класть яйца в кипяток. Советы, которые помогут сварить идеальные яйца Существует несколько лайфхаков: Варим идеальное яйцо, обращаясь к физике Если обратиться к физике, то сварить идеальное яйцо - довольно непростая затея. На агрегатное состояние желтка после варки влияют различные факторы: температура воды во время погружения яйца в воду, скорость закипания, изначальная температура яйца (смотря, где вы хранили яйца: в холодильнике или при комнатной температуре). Также влияет высота вашей плиты над уровнем моря (здесь мы говорим о температуре кипения воды. Например, в горах температура будет ни
Оглавление

Исследователи давно смогли вывести формулу, которая помогает рассчитать время варки идеального яйца. Им даже удалось превратить ее в простой онлайн-калькулятор. Сейчас расскажем!

Canva
Canva

Как сварить идеальное яйцо: простой способ

Итак, что нужно? Положить яйцо в кипящую воду и оставить на пару минут. Кто-то помещает яйца в холодную воду и ставит на плиту, но этот способ усложняет расчеты, поэтому лучше класть яйца в кипяток.

Советы, которые помогут сварить идеальные яйца

Существует несколько лайфхаков:

  • Чтобы облегчить процесс чистки яиц, в кипящую воду можно добавить уксус или же разбить готовое яйцо и опустить на некоторое время в холодную воду. Так вода окажется между скорлупой и белком, и скорлупа будет легче отделяться.
  • Самое важное - время варки. Если вы будете контролировать его, то у вас получится идеальное яйцо. Различный состав желтка и белка дает их разную реакцию на нагревание: белок начинает сворачиваться немного быстрее. Если же вы передерживаете яйца в кипятке, то можете заметить зеленоватую пленка сульфида. Она появляется, когда перегрев высвобождает связанную серу белка, которая вступает в реакцию с железосодержащими солями в желтке.

Варим идеальное яйцо, обращаясь к физике

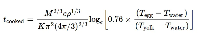
Если обратиться к физике, то сварить идеальное яйцо - довольно непростая затея. На агрегатное состояние желтка после варки влияют различные факторы: температура воды во время погружения яйца в воду, скорость закипания, изначальная температура яйца (смотря, где вы хранили яйца: в холодильнике или при комнатной температуре). Также влияет высота вашей плиты над уровнем моря (здесь мы говорим о температуре кипения воды. Например, в горах температура будет ниже и яйца будут вариться дольше). Чтобы сварить идеальное яйцо, нужно взять во внимание большинство этих факторов. В этом нам поможет уравнение, которое составил физик Чарльз Уильямс. Формула перед вами:

-2

Итак, вспоминаем школьный курс физики: t — время варки, m — масса, K — коэффициент теплопроводности яйца, ywr — соотношение масс желтка и белка. Также вам необходимо знать точную температуру яйца (Tegg) и температуру желтка (T), а также владеть логарифмами.

В том, случае, если все ваши знания остались в школе, а интерес варки идеального яйца взял верх, то можно обратиться к этому онлайн-калькулятору или к другому. Чтобы провести расчет, вам будут нужны кухонные весы (вы, конечно, можете вместо веса яйца ввести его категорию). Определить высоту над уровнем моря вам поможет этот сайт. Если вы находитесь в Москве выше первого этажа, прибавьте к данным карты число этажей, умноженное на три метра. Если же вы проживаете в другом месте, то вам придется рассчитывать высоту над уровнем моря другими методами.

Если варить яйцо по первому калькулятору, то он нам говорит, что на севере Москвы отборное яйцо, которое хранилось в холодильнике, нужно варить 11 минут, а всмятку - 7 минут. При этом яйцо нужно погружать в кипящую воду.

Если же обратиться ко второму калькулятору, то яйцо необходимо варить на несколько минут меньше. Но, как мы выяснили, яйцо, сваренное по этой рекомендации, получится немного сырое.