Найти в Дзене

О делении углом

Деление углом выполняется довольно просто, но в школьной программе ему уделяется недостаточно внимания. Я сам познакомился с ним на первом курсе института, хотя подразумевалось, что мы должны его знать еще из школы.
Благо, что однокурсники быстро мне его объяснили (а в школе я учился очень хорошо)...
Но и в школьных задачах этот метод может быть весьма полезен. Например, при разложении многочлена на множители, если достоверно известен один из его корней или при выделении целой части алгебраической дроби. А теперь переходим к самому методу, который рассмотрим на примере. Допустим, нам необходимо выделить целую часть из неправильной алгебраической дроби Заменим дробь делением, и попробуем поделить числитель на знаменатель «в столбик»: Теперь наше основное внимание сосредоточим на слагаемые старших степеней делимого и делителя. Старшая степень делимого 3x³, а слагаемое старшей степени делителя — x. Для того, чтобы из x получить 3x³, его надо умножить на 3x²: Далее смотрим на старшую сте
Изображение авторское
Изображение авторское

Деление углом выполняется довольно просто, но в школьной программе ему уделяется недостаточно внимания. Я сам познакомился с ним на первом курсе института, хотя подразумевалось, что мы должны его знать еще из школы.

Благо, что однокурсники быстро мне его объяснили (а в школе я учился очень хорошо)...

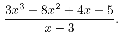
Но и в школьных задачах этот метод может быть весьма полезен. Например, при разложении многочлена на множители, если достоверно известен один из его корней или при выделении целой части алгебраической дроби.

А теперь переходим к самому методу, который рассмотрим на примере.

Допустим, нам необходимо выделить целую часть из неправильной алгебраической дроби

Изображение авторское
Изображение авторское

Заменим дробь делением, и попробуем поделить числитель на знаменатель «в столбик»:

Изображение авторское
Изображение авторское

Теперь наше основное внимание сосредоточим на слагаемые старших степеней делимого и делителя. Старшая степень делимого 3x³, а слагаемое старшей степени делителя — x. Для того, чтобы из x получить 3x³, его надо умножить на 3x²:

Изображение авторское
Изображение авторское

Далее смотрим на старшую степень следующего слагаемого. Для того, чтобы из x получить x², его необходимо умножить на x. Выполняем:

Изображение авторское
Изображение авторское

И окончательно, умножив x на 7, получаем 7x:

Изображение авторское
Изображение авторское

Остаток от деления равен 16.

Далее поступим точно так же, как и при обычном преобразовании неправильной дроби в смешанное число. Частное записываем как многочлен, знаменатель оставляем прежним, а остаток записываем в числитель.

Изображение авторское
Изображение авторское

Вот и весь метод!

Как видите, ничего трудного в нём нет. Если вы хотите потренироваться, вот несколько примеров, а ответы я отправлю в комментарии через неделю:

Если эта статья была вам полезна, поставьте, пожалуйста лайк. Вам нетрудно, а мне приятно и стимулирует работать для вас!

Если вы хотите и дальше читать мои математические статьи, подпишитесь на канал!

Удачи вам в повторении математики и успешной подготовки к экзаменам!

А я с удовольствием помогу вам в этом!

Ваш Виталий Самонов

P.S. Статьи в блог я планирую писать приблизительно раз в неделю. Помимо этого блога я регулярно публикую в соцсетях шпаргалки по различным разделам школьной математики (преимущественно для тех учеников, которые планируют сдавать ЕГЭ и ОГЭ), и еженедельные задачи. Подписаться на соцсети вы можете по ссылкам в описании профиля

#репетиторпоматематике #егэпоматематике #делениеуглом