Добавить в корзинуПозвонить
Найти в Дзене

Зачем матрицы и их определители

Как и с любой другой математической абстракцией, у неподготовленного человека при знакомстве с матрицами часто возникает отторжение. Какая-то непонятная запись целого набора чисел, которая непонятно для чего нужна. Но для формальных аналитических вычислений эта конструкция оказывается чрезвычайно полезной. Помимо того, что с помощью матриц можно очень компактно записывать целые системы уравнений и решать их в сжатом виде через операции с матрицами, для нас очень важен ещё один аспект. Если записать некторые векторы, как матрицу, то с помощью ставших стандартными операций можно находить площади и объёмы фигур. А площади и объёмы фигур - это зачастую аналоги очень конкретных физических характеристик.
Т.е. в очередной раз можно сделать простой инструмент для решения многих задач "втупую". Можно не разбираться со всякими основаниями, высотами и прочими школьными понятиями. Можно не понимать логику решения геометрических или алгебраических задач. Просто пишем матрицу, делаем для неё стандар

Как и с любой другой математической абстракцией, у неподготовленного человека при знакомстве с матрицами часто возникает отторжение. Какая-то непонятная запись целого набора чисел, которая непонятно для чего нужна. Но для формальных аналитических вычислений эта конструкция оказывается чрезвычайно полезной.

Помимо того, что с помощью матриц можно очень компактно записывать целые системы уравнений и решать их в сжатом виде через операции с матрицами, для нас очень важен ещё один аспект. Если записать некторые векторы, как матрицу, то с помощью ставших стандартными операций можно находить площади и объёмы фигур. А площади и объёмы фигур - это зачастую аналоги очень конкретных физических характеристик.
Т.е. в очередной раз можно сделать простой инструмент для решения многих задач "втупую". Можно не разбираться со всякими основаниями, высотами и прочими школьными понятиями. Можно не понимать логику решения геометрических или алгебраических задач. Просто пишем матрицу, делаем для неё стандартные операции, получаем ответ. Программировать с такими инструментами - одно удовольствие.
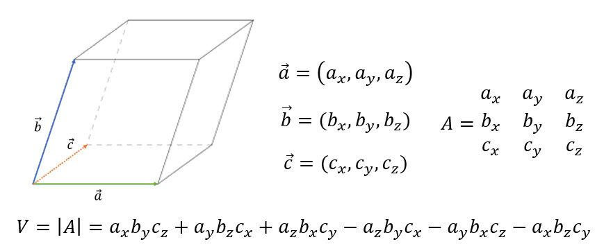
И одной из наиболее важных характеристик матриц является её определитель. Если взять 3 вектора, которые выходят из одной точки и образуют параллелепипед, записать их, как матрицу, то модуль её определителя будет равен объёму получившейся фигуры.

-2

Относиться к матрицам и их определителям лучше всего, как к очень удобному инструменту для решения многих задач. Иногда крайне сложные школьные задачи при переформулировке к матричной методологии становятся тривиальными. Они сводятся к одной операции с матрицей.

Наука
7 млн интересуются