Добавить в корзинуПозвонить
Найти в Дзене
Простаяматематика.рф

ЕГЭ-2023. Разбор 12 задания из экзамена

Здравствуйте, дорогие подписчики и гости канала. Ранее я разбирала 15 задание и 16 задание из экзамена. Сегодня разберем вот такое 12 задание из экзамена: Задание на группировку, но она с изюминкой. Группируем слагаемые с sinx, далее пользуемся формулой половинного аргумента и пример сводится к стандартному: Отбор корней, принадлежащих заданному отрезку, можно делать любым способом, но так чтобы все корни были найдены. Очень хорошо у ребят "заходит" отбор корней с помощью двойного неравенства: Спасибо за внимание Буду рада вашим лайкам и комментариям, а также подписке на канал До новых встреч на канале Простаяматематика.рф
Оглавление

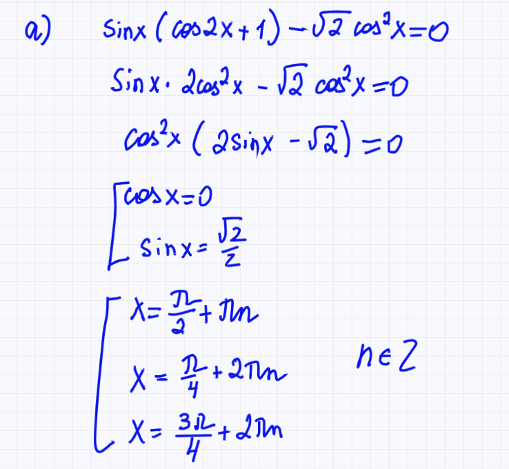
Здравствуйте, дорогие подписчики и гости канала. Ранее я разбирала 15 задание и 16 задание из экзамена. Сегодня разберем вот такое 12 задание из экзамена:

Задание на группировку, но она с изюминкой. Группируем слагаемые с sinx, далее пользуемся формулой половинного аргумента и пример сводится к стандартному:

-2

Отбор корней, принадлежащих заданному отрезку, можно делать любым способом, но так чтобы все корни были найдены. Очень хорошо у ребят "заходит" отбор корней с помощью двойного неравенства:

-3
-4
-5

-6

Спасибо за внимание

Буду рада вашим лайкам и комментариям, а также подписке на канал

До новых встреч на канале Простаяматематика.рф