Найти в Дзене

Исследование Колхиды

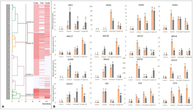
С удовольствием обнаружил в чайных научных новостях полный текст работы российских ученых, в которой они изучили пересекающиеся и специфические механизмы реакции растения на кратковременные заморозки, длительные холода и засуху. Исследование всех этих механизмов производилось на чайных кустах сорта Колхида. Результаты исследования могут быть использованы для выведения новых холодо- и засухо-стойких сортов чайного куста. И других тепло и влаголюбивых растений. Для понимания результатов работы мне не хватает предметных знаний, там все такое генетическое-генетическое. Но очень приятно, конечно, что исследования чая в России продолжаются и идут в той сфере, в которой они велись во времена расцвета советской чайной науки. В сфере адаптации камелии китайской к несколько нетипичным условиям выращивания. И редакторы и рецензенты из Китая и Индии — это тоже хорошо. Преемственность и интеграция, все дела.

С удовольствием обнаружил в чайных научных новостях полный текст работы российских ученых, в которой они изучили пересекающиеся и специфические механизмы реакции растения на кратковременные заморозки, длительные холода и засуху. Исследование всех этих механизмов производилось на чайных кустах сорта Колхида. Результаты исследования могут быть использованы для выведения новых холодо- и засухо-стойких сортов чайного куста. И других тепло и влаголюбивых растений.

www.ncbi.nlm.nih.gov
www.ncbi.nlm.nih.gov

Для понимания результатов работы мне не хватает предметных знаний, там все такое генетическое-генетическое. Но очень приятно, конечно, что исследования чая в России продолжаются и идут в той сфере, в которой они велись во времена расцвета советской чайной науки. В сфере адаптации камелии китайской к несколько нетипичным условиям выращивания. И редакторы и рецензенты из Китая и Индии — это тоже хорошо. Преемственность и интеграция, все дела.