Добавить в корзинуПозвонить
Найти в Дзене
Енот-математик

Самый правильный угол IV

Сегодня мы разберёмся почему ортогональные векторы перпендикулярны друг другу и почему в теореме Пифагора треугольники должны быть прямоугольными. Это завершающая статья в серии, посвящённой прямому углу и его главному свойству — быть углом между прямой и осью её симметрии. Она будет непростой, но в ней мы, наконец, серьёзно поговорим о том что же мы имеем в виду, говоря об углах. От Евклида к Гильберту Угол в геометрии неразрывно связан с понятием направления, а оно, в свою очередь, наиболее полно выражается через векторы. Геометрический вектор, как направленный отрезок, характеризуется длиной и направлением и обе эти величины можно выразить через скалярное произведение векторов. Скалярное произведение мы обычно выражаем через координаты, однако использование координатной системы само опирается на скалярное произведение, как на более фундаментальное понятие. Результатом скалярного произведения двух векторов является число, то есть, скалярная величина, не зависящая от выбора системы к
Оглавление

Сегодня мы разберёмся почему ортогональные векторы перпендикулярны друг другу и почему в теореме Пифагора треугольники должны быть прямоугольными.

Это завершающая статья в серии, посвящённой прямому углу и его главному свойству быть углом между прямой и осью её симметрии. Она будет непростой, но в ней мы, наконец, серьёзно поговорим о том что же мы имеем в виду, говоря об углах.

От Евклида к Гильберту

Угол в геометрии неразрывно связан с понятием направления, а оно, в свою очередь, наиболее полно выражается через векторы. Геометрический вектор, как направленный отрезок, характеризуется длиной и направлением и обе эти величины можно выразить через скалярное произведение векторов.

Скалярное произведение мы обычно выражаем через координаты, однако использование координатной системы само опирается на скалярное произведение, как на более фундаментальное понятие. Результатом скалярного произведения двух векторов является число, то есть, скалярная величина, не зависящая от выбора системы координат. Кроме этого, скалярное произведение линейно (билинейно), это значит, что оно дистрибутивно по отношению к сложению: (a + b)⋅c = ac + bc, и при умножении любого из векторов на некоторое число, произведение тоже должно увеличиться на эту же величину: (λa)⋅b = a⋅(λb) = λ(ab).

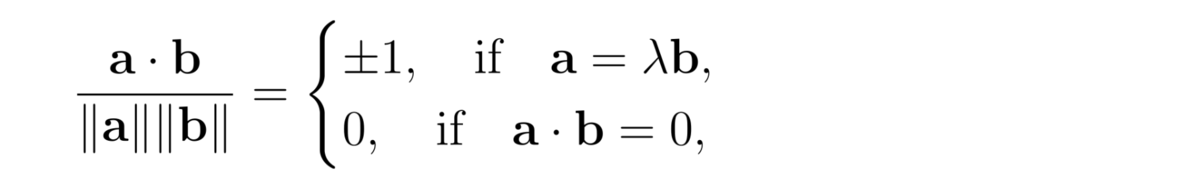
Имея для некоторого векторного пространства корректно определённое скалярное произведение, можно определить длину или норму вектора, как произведение вектора a на самого себя: ‖a‖² = aa.

Как бы мы ни определили произведение с такими свойствами, для него должно выполняться неравенство Коши-Шварца-Буняковского: ab ≤ ‖a‖‖b‖, из которого для ненулевых векторов следует, что

Существует много доказательств этого неравенства, любопытные могут познакомиться с ними на странице Википедии. Нас в нём интересуют два крайних случая:

-2

Первый соответствует сонаправленным, или коллинеарным векторам, а второй ортогональным или линейно независимым.

Векторное пространство, как и скалярное произведение, можно определить, не привязываясь ни к какой геометрии. Так, например, в гильбертовых пространствах точками (векторами) являются функции, а роль скалярного произведения может выполнять некоторое интегральное преобразование от произведения этих функций. В частности, функции sin(x) и cos(x) ортогональны, поскольку равно нулю их скалярное произведение, определённое как:

-3

Ни о каких "углах между функциями" при этом речь не идёт, ортогональность более общее понятие, чем геометрическая перпендикулярность.

Со времён Феликса Клейна и Давида Гильберта геометрии строятся на основе синтетического метода и определяются группой преобразований, сохраняющих те или иные фундаментальные свойства геометрического пространства. Евклидова геометрия строится на группе изометрий преобразований, сохраняющих расстояния между всеми точками. От расстояния (метрики) мы ждём того, что оно не будет меняться при параллельных переносах, и произвольных поворотах относительно произвольной точки, отражениях относительно произвольных прямых, а также любых комбинаций этих преобразований. Если перебирать всевозможные способы ввести метрику на пространстве (метрику городских кварталов, метрику Чебышёва, или экзотическую французскую железнодорожную метрику), то выяснится, что только евклидова метрика будет сохраняться при любом из перечисленных преобразований. В этой метрике расстояние между точками A и B равно длине вектора, соединяющего эти точки:

-4

Рассматривая повороты, мы вводим некий числовой (скалярный) параметр, который и называем углом поворота. При этом мы требуем, чтобы этот параметр был аддитивным, то есть, чтобы композиция поворотов на углы α и β была эквивалентной повороту на угол α + β:

-5

Под поворотом R при этом понимается преобразование, изменяющее направление, но не длину вектора. Это значит, что должна существовать некая обратимая скалярная (не зависящая от выбора системы координат) функция, которая позволит переводить повороты в углы:

-6

Эта функция, связывающая угловую меру между векторами с их скалярным произведением, нам хорошо знакома, как косинус:

-7

Так можно определить угол между двумя векторами:

-8

Никакие свойства этой функции нам сейчас не понадобятся, поскольку нас не интересует конкретная угловая мера. Достаточно того, что такая функция существует. Для нас важно заметить, что функция угла (и сам угол) между ортогональными векторами, для которых скалярное произведение равно нулю, не будет изменяться при произвольной смене знака любого из векторов, что геометрически соответствует зеркальному отражению, меняющему угол на смежный ему. А раз при отражении угол между ортогональными векторами не меняется, то это означает, что такие векторы образуют угол, равный своему смежному, то есть, единственный и неповторимый прямой угол. Так мы и приходим к выводу:

ортогональные геометрические векторы перпендикулярны друг другу.

* * *

Имея скалярное произведение векторов, позволяющее определить метрику, не зависящую от изометрий, из базового свойства скалярного произведения — линейности, можно прийти к теореме косинусов, а значит, и к теореме Пифагора. Если рассмотреть два вектора a и b, и вычислить квадрат длины их разницы, то получим следующее выражение:

-9

Таким образом, из евклидовости пространства следует, что соотношение Пифагора в треугольнике выполняется тогда и только тогда, когда векторы построенные на двух сторонах ортогональны, что в свою очередь, означает, что треугольник прямоугольный. Евклид смог доказать это в своих "Началах", используя чисто геометрические построения, мы сегодня прошли этот путь, практически минуя геометрию, опираясь на понятия созданные Августином Коши, Феликсом Клейном и Давидом Гильбертом

От Евклидовой геометрии к проективной

А что там за пределами Евклидовой геометрии? Неужели магия прямого угла там не работает? Прямой угол в нашем понимании остаётся прямым и на сфере и в гиперболическом мире, но несмотря на это, в знакомом нам виде теорема Пифагора перестаёт работать в неевклидовых геометриях: квадраты катетов уже не обязаны складываться в квадрат гипотенузы.

Однако, есть такое обобщение теоремы Пифагора, которое способно работать вне конкретной двумерной геометрии, но для этого нужно перейти из метрической геометрии в проективную. В проективном подходе треугольник превращается в трёхгранный угол, образованный тремя плоскостями, пересекающимися в одной точке, как показано на рисунке.

Проецирование обобщённого проективного треугольника на поверхности равной кривизны: сферическую, плоскую и гиперболическую.
Проецирование обобщённого проективного треугольника на поверхности равной кривизны: сферическую, плоскую и гиперболическую.

Такой угол представляет многообразие всех треугольников, проективно эквивалентных заданному. Представьте себе, что проективный треугольник это лучи света, исходящие из его вершины, как из кинопроектора. Если мы поставим на их пути какое-либо двумерное пространство, как экран, то получим двухмерный треугольник, но не обязательно привычный нам. Получить "нормальный" треугольник можно, пересекая этот проективный треугольник плоскостью, но если экран будет искривлён, то мы сможем получить треугольники в тех или иных неевклидовых геометриях. Но пока мы не фиксировали конкретную геометрию, размеры и расстояния не играют роли, важны только их отношения или углы, либо функции от них.

Мы схитрили, вложив всё это построение в трёхмерное евклидово пространство, так что трёхгранный угол можно характеризовать тремя плоскими углами при вершине α, β и γ или тремя векторами. Вновь, используя только векторную алгебру, можно вывести весьма общее соотношение на углы, которое выполняется для всех нетривиальных трёхгранных углов:

-11

где Г — ещё один плоский угол, показанный на рисунке. Это соотношение называется сферической теоремой косинусов.

Мы получили нечто гораздо более сложное, чем теорема Пифагора, или обобщающая её теорема косинусов. "Висящая" в некотором векторном пространстве трехгранная пирамида с заветной формулой, сияющей рядом, существует "сама по себе", без привязки к какой-либо конкретной геометрии.

Мы уже знаем, что угол между ортогональными векторами всегда равен прямому углу. В теореме Пифагора фигурируют прямоугольные треугольники, которые при переходе к проективной геометрии превратятся в такие трёхгранные углы, у которых угол Г прямой. Кроме того, мы знаем, что косинус прямого угла равен нулю, так что правая часть сферической теоремы косинусов превращается в самый обобщённый вид теоремы Пифагора. Вот он:

-12

Красиво, правда? Это проективное представление великой теоремы и оно весьма лаконично, хоть и не столь понятно.

Давайте рассмотрим сферическую геометрию. Если в вершину трёхгранного угла-треугольника поместить сферу с радиусом R, то пересекаясь с ней, трёхгранный угол образует прямоугольный треугольник. Для него обобщённая теорема Пифагора примет следующий вид:

-13

здесь a, b и c — уже длины сторон треугольника на конкретной проекции. Не больно-то по-пифагоровски выглядит это соотношение, но как мы уже говорили, квадраты катетов на сфере уже никому ничего не должны, а это соотношение универсально! А давайте рассмотрим ма-а-аленький треугольник на огро-о-омной сфере, то есть сделаем отношения сторон треугольника к радиусу малыми величинами. Это позволит нам воспользоваться разложением косинуса в ряд:

-14

Подставив это приближение в обобщённую теорему Пифагора и отбросив слагаемые четвёртого порядка, мы получим плоскую евклидову теорему Пифагора c² = a² + b², как приближение сферической.

А что если поместить в вершину проективного треугольника не сферу, а гиперболоид? Не буду проводить вас через дебри алгебры (не очень сложные, если использовать комплексные числа), и сразу скажу, что в гиперболической геометрии теорема Пифагора примет гиперболический вид:

-15

Здесь функция ch(x) — косинус гиперболический. И конечно же, для маленьких треугольников, таких что ch(x) ≈ 1 + 1/2·x² + … мы вновь получим привычную евклидову формулировку чудесной теоремы.