Найти в Дзене
Математика не для всех

Крутой пример на прогрессию, которую в школе не изучали

Приветствую Вас, уважаемые Читатели! Сегодня мы на конкретном примере разберемся, что это за гибрид известных всем со школы последовательностей. Итак, общая формула арифметико-геометрической прогрессии записывается следующим образом: Проще говоря, n-й член арифметико-геометрической последовательности является произведением n-го члена арифметической последовательности и n-го члена геометрической. Явная формула для конкретного члена геометрической прогрессии имеет вид: Но нам, конечно, интересно, чему равна сумма! Для этого рассмотрим конкретный пример и выведем всё посредством стандартных рассуждений. Найдем сумму такого ряда: Из постановки задачи понятно, что члены этого ряда образуют арифметико-геометрическую прогрессию, но нам нужно убедиться в этом и определить её коэффициенты: Теперь запишем наш бесконечный ряд в общем виде: Вторая копия получается умножением на коэффициент геометрической прогрессии. Теперь вычитаем второй ряд из первого и получаем: Наши манипуляции позволяют нам в

Приветствую Вас, уважаемые Читатели! Сегодня мы на конкретном примере разберемся, что это за гибрид известных всем со школы последовательностей.

Итак, общая формула арифметико-геометрической прогрессии записывается следующим образом:

Проще говоря, n-й член арифметико-геометрической последовательности является произведением n-го члена арифметической последовательности и n-го члена геометрической.

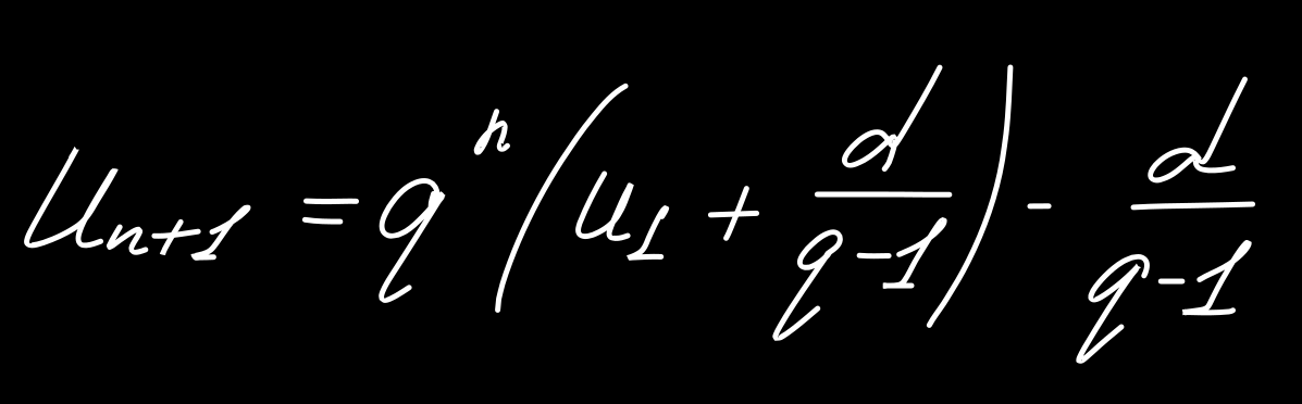
Явная формула для конкретного члена геометрической прогрессии имеет вид:

-2

Но нам, конечно, интересно, чему равна сумма! Для этого рассмотрим конкретный пример и выведем всё посредством стандартных рассуждений.

Найдем сумму такого ряда:

-3

Из постановки задачи понятно, что члены этого ряда образуют арифметико-геометрическую прогрессию, но нам нужно убедиться в этом и определить её коэффициенты:

-4

Теперь запишем наш бесконечный ряд в общем виде:

-5

Вторая копия получается умножением на коэффициент геометрической прогрессии. Теперь вычитаем второй ряд из первого и получаем:

-6

Наши манипуляции позволяют нам вычислить геометрической прогрессии в первой скобке:

-7

Теперь нужно подставить исходные данные и заметить, что при стремлении n к бесконечности вычитаемое стремится к 0, ведь знаменатель меньше 1:

-8

В общем виде формула выглядит так:

-9

Читать по теме:

  1. Наиболее обширная статья об арифметико-геометрической прогрессии - конечно в журнале "Квант" - здесь.
  2. Интересные примеры на английском языке - здесь
  3. Лестница Габриэля как пример визуализации арифметико-геометрической прогрессии
  4. Классная задача из международной математической олимпиады 1994 года

TELEGRAM и Вконтакте- там я публикую не только интересные статьи, но и математический юмор и многое другое.

Наука
7 млн интересуются