Найти в Дзене

Глава 8. Задача 4.

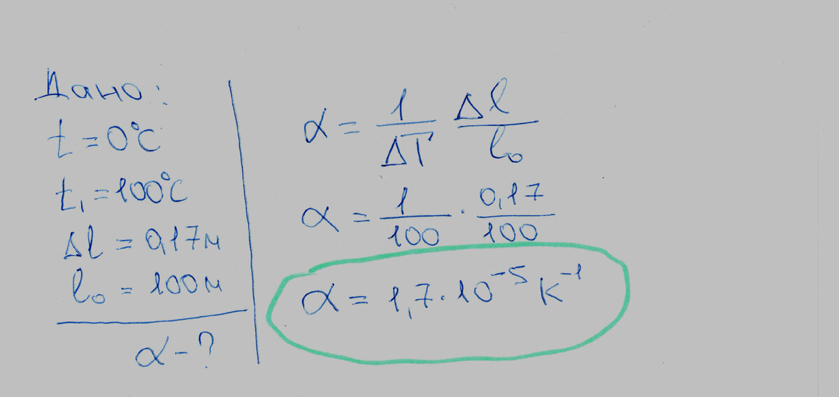
Задача: Длина медной проволоки при нагревании от 0 до 100 С увеличилась на 0,17 м. Определить температурный коэффициент линейного расширения меди, если первоначальная длина проволоки 100 м. Решение: Для решения нам нужна одна лишь формула. Из теории мы знаем, что температурным коэффициентом линейного расширения называется величина, равная отношению относительного удлинения тела к изменению его температуры. Заработайте мега-плюс в карму: Если материал был Вам полезен, поставьте пожалуйста лайк и подпишитесь. Это поможет тем кто идёт за Вами находить нужный материал и мотивирует меня на дальнейшую работу. Спасибо! Записываем решение следующим образом: Задача решена. Хотите больше задач? Подписывайтесь на канал, ставьте лайки, пишите комментарии. Предлагайте варианты задач, обязательно со ссылкой на источник.

Задача: Длина медной проволоки при нагревании от 0 до 100 С увеличилась на 0,17 м. Определить температурный коэффициент линейного расширения меди, если первоначальная длина проволоки 100 м.

Решение: Для решения нам нужна одна лишь формула. Из теории мы знаем, что температурным коэффициентом линейного расширения называется величина, равная отношению относительного удлинения тела к изменению его температуры.

Заработайте мега-плюс в карму: Если материал был Вам полезен, поставьте пожалуйста лайк и подпишитесь. Это поможет тем кто идёт за Вами находить нужный материал и мотивирует меня на дальнейшую работу. Спасибо!

Записываем решение следующим образом:

Задача решена.

Хотите больше задач? Подписывайтесь на канал, ставьте лайки, пишите комментарии. Предлагайте варианты задач, обязательно со ссылкой на источник.