Добавить в корзинуПозвонить
Найти в Дзене
Енот-математик

Классика жанра. Золотое сечение

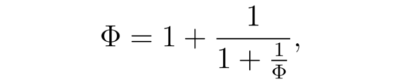
А как же! Негласный закон популярной математики предписывает: пишешь про математику — напиши про золотое сечение. Что-нибудь такое "про красоту и гармонию", "про числа Фибоначчи", "про пятиконечную звезду и идеальные пропорции"... ах, да, ещё обязательно "про тайны..." А поговорим мы про по-настоящему глубокое свойство этого числа, о котором вспоминают не так часто, как о других. Дело в том, что это, в известном смысле, самое простое иррациональное число из всех прочих, а их, на минуточку, целый континнум! Как известно, числом Ф называют больший корень рационального уравнения: Из него сразу следует, что это же число решает и чуть более многоэтажное уравнение: и ещё чуть более многоэтажное: и так можно продолжать бесконечно долго. И если мы пообещаем себе никогда не останавливаться, то получим точное значение числа Ф в форме цепной дроби: Последнее выражение — короткая запись этой дроби, говорящая о том, что единички в последовательности дробей повторяются бесконечно. Другие иррационал

А как же! Негласный закон популярной математики предписывает: пишешь про математику — напиши про золотое сечение. Что-нибудь такое "про красоту и гармонию", "про числа Фибоначчи", "про пятиконечную звезду и идеальные пропорции"... ах, да, ещё обязательно "про тайны..."

А поговорим мы про по-настоящему глубокое свойство этого числа, о котором вспоминают не так часто, как о других. Дело в том, что это, в известном смысле, самое простое иррациональное число из всех прочих, а их, на минуточку, целый континнум!

Как известно, числом Ф называют больший корень рационального уравнения:

Из него сразу следует, что это же число решает и чуть более многоэтажное уравнение:

-2

и ещё чуть более многоэтажное:

-3

и так можно продолжать бесконечно долго. И если мы пообещаем себе никогда не останавливаться, то получим точное значение числа Ф в форме цепной дроби:

-4

Последнее выражение — короткая запись этой дроби, говорящая о том, что единички в последовательности дробей повторяются бесконечно.

Другие иррациональные числа тоже имеют такое представление, причем, уникальное для каждого из них. Например

-5

Все рациональные числа описываются конечными цепными дробями, а иррациональные — бесконечными, причём некоторые алгебраические числа (алгебраической степени 2, то есть, решения квадратных уравнений с целыми коэффициентами) — бесконечными периодичными, а числа более высоких алгебраических степеней и транцендентные — бесконечными непериодичными. Эта трудноуловимая разница между разными классами иррациональных чисел становится явной при использовании цепных дробей.

Но вернёмся к золотому сечению. Цепная дробь Ф = [1; (1)] самая простая из возможных, она требует минимальное количество информации для своего определения (кодирования). С точки зрения тории информации, она имеет в точности нулевую энтропию.

Это свойство золотого сечения неожиданно проявляется в теории хаоса при рассмотрении систем, имеющих очень слабые потери энергии, таких, например, как система планет, вращающихся вокруг звёзд. Такие системы описывает теория Колмогорова-Арнольда-Мозера, непростая ветвь теории динамического хаоса.

Взаимное влияние планет друг на друга (их притяжение) может привести к тому, что они начнут двигаться согласованно и вступят в резонанс: такое состояние, в котором периоды обращения планет будут относиться друг к другу, как рациональные числа. Однако при добавлении новых и новых объектов, то есть, при появлении, новых возмущений, резонансные числа будут представляться всё более и более громоздкими дробями, пока, в какой-то момент одна из орбит не потеряет устойчивость и не станет истинно хаотичной, после этого облако хаоса может распространиться на соседей и занять существенную часть всей системы. Так возникают пояса астероидов или сплошные кольца вокруг планет-гигантов. Так вот, первой хаотичной орбитой будет орбита тела, имеющая с каким-то из своих соседей резонансное число, равное самому простому иррациональному числу Ф. Из этой тоненькой хаотичной струйки при росте возмущения и вырастает великолепный чистый математический хаос, который заставляет нас прибегать к помощи теории вероятностей даже в рассуждениях о дивной гармонии небесных сфер.

На картинках, взятых из астрофизической статьи, показаны не орбиты планет, а их фазовые диаграммы, на которых резонансы имеют вид точек или сплошных линий, окруженных туманными областями хаоса.