Добавить в корзинуПозвонить
Найти в Дзене

ОГЭ-2025. Разбор второй части из статграда

Здравствуйте дорогие подписчики и гости канала Предлагаю разбор второй части работы Статграда от 5марта, Сам вариант можно посмотреть тут. Первые 5 заданий разобрала тут: Разбор заданий про деревни 6 по 19 вот здесь: Разбор Статграда от 5марта, ОГЭ-2025 Для тех, кому интересно: Январский Статград Декабрьский статград Октябрьский статград Тут легкое уравнение, на замену: 21. Расстояние между пристанями А и В равно 126 км. Из А в В по течению реки отправился плот, а через час вслед за ним отправилась моторная лодка, которая, прибыв в пункт В, тотчас повернула обратно и возвратилась в А. К этому времени плот проплыл 36 км. Найдите скорость лодки в неподвижной воде, если скорость течения реки равна 4 км/ч. 22. 23. Высота AH ромба ABCD делит сторону CD на отрезки DH =12 и CH =1. Найдите высоту ромба. 24. Внутри параллелограмма ABCD выбрали произвольную точку E . Докажите, что сумма площадей треугольников BEC и AED равна половине площади параллелограмма. 25. На стороне BC остроуго

Здравствуйте дорогие подписчики и гости канала

Предлагаю разбор второй части работы Статграда от 5марта,

Сам вариант можно посмотреть тут.

Первые 5 заданий разобрала тут: Разбор заданий про деревни

6 по 19 вот здесь: Разбор Статграда от 5марта, ОГЭ-2025

Для тех, кому интересно:

Январский Статград

Декабрьский статград

Октябрьский статград

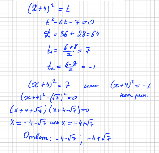
Тут легкое уравнение, на замену:

-2

21. Расстояние между пристанями А и В равно 126 км. Из А в В по течению реки

отправился плот, а через час вслед за ним отправилась моторная лодка,

которая, прибыв в пункт В, тотчас повернула обратно и возвратилась в А.

К этому времени плот проплыл 36 км. Найдите скорость лодки в неподвижной

воде, если скорость течения реки равна 4 км/ч.

-3

-4

22.

-5
-6
-7
-8

23. Высота AH ромба ABCD делит сторону CD на отрезки DH =12 и CH =1.

Найдите высоту ромба.

-9

24. Внутри параллелограмма ABCD выбрали произвольную точку E . Докажите,

что сумма площадей треугольников BEC и AED равна половине площади

параллелограмма.

-10
-11
-12

25. На стороне BC остроугольного треугольника ABC как на диаметре построена полуокружность, пересекающая высоту AD в точке M , AD = 72, MD = 18, H — точка пересечения высот треугольника ABC . Найдите AH

-13

-14

По свойству секущих:

-15

Рассмотрим подобие треугольников

-16

Буду рада вашим лайкам, комментариям и вашей подписке

Также приглашаю в группу Телеграм и Вконтакте

Спасибо за внимание, до новых встреч