Добавить в корзинуПозвонить
Найти в Дзене
In ФИЗМАТ

Все задачи на анализ функций первой части (банк ФИПИ) ЕГЭ по математике, профильный уровень. 2025 год

В этой статье рассмотрим все задачи на анализ функций (№12) из первой части, которые предлагает нам открытый банк заданий ФИПИ. Я отфильтровала задания по по типам (аналогичные задания). Где каруселей нет - значит, задание было в единственном варианте. Глобально, задачи можно разделить на два вида: поиск точек минимума или максимума и поиск наибольшего или наименьшего значения функции на заданном отрезке. В обоих типах нужно искать производную функции. Поэтому необходимо знать значения производных базовых функций (таблицу производных), а также правила поиска производных сложных функций. Здесь на функциях я остановлюсь немного подробнее, чем просто выложу решения. Обговорю основные ловушки. Так сказать, зафиналим первую часть красиво =) Методичка по теме исследования функций с помощью производных уже доступна для скачивания по премиум подписке: Тип 1. Поиск точек минимума и максимума. Нужно найти производную функции, приравнять ее к нулю и решить уравнение. Если точка одна (или одна р

В этой статье рассмотрим все задачи на анализ функций (№12) из первой части, которые предлагает нам открытый банк заданий ФИПИ.

Я отфильтровала задания по по типам (аналогичные задания). Где каруселей нет - значит, задание было в единственном варианте.

Глобально, задачи можно разделить на два вида: поиск точек минимума или максимума и поиск наибольшего или наименьшего значения функции на заданном отрезке.

В обоих типах нужно искать производную функции. Поэтому необходимо знать значения производных базовых функций (таблицу производных), а также правила поиска производных сложных функций.

Здесь на функциях я остановлюсь немного подробнее, чем просто выложу решения. Обговорю основные ловушки. Так сказать, зафиналим первую часть красиво =)

Методичка по теме исследования функций с помощью производных уже доступна для скачивания по премиум подписке:

Методичка. Исследование функций с помощью производных
In ФИЗМАТ13 марта 2025

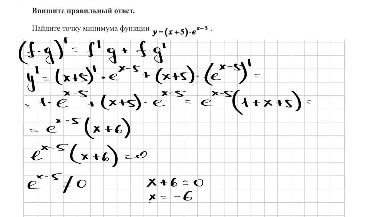
Тип 1. Поиск точек минимума и максимума.

Нужно найти производную функции, приравнять ее к нулю и решить уравнение. Если точка одна (или одна рациональная), она и идет в ответ, а если точек две, то нужно сделать проверку. Для этого определяем знаки производной на промежутках между нулями (корнями уравнения) и расставляем возрастание/убывание начальной функции. Максимум - переход от возрастания к убыванию, а минимум - переход от убывания к возрастанию.

1) функции с "е"

Здесь важен знак перед х, который стоит в степени у е. Если перед х стоит минус, то при вычислении производной e в степени -х, "-" спускается как множитель -1. Это - главная ловушка задания. Нам предлагают два варианта: и с плюсом и с минусом.

2) Функции с корнем.

Они могут быть записаны по-разному. Либо через знак корня, либо через степень 3/2. При поиске производной удобнее всего пользоваться именно вариантом с 3/2. При вычислении производной степенной функции мы пользуемся алгоритмом: число, стоящее в степени спускаем как множитель, а степень понижаем на 1. И удобно это делать с 3/2, чем расписывать произведение х на корень х через сложную функцию.

3) Функции третьей степени (кубические функции)

Тут хитростей особо не выявлено. Нужно аккуратно вычислить производную и определить минимум и максимум. Единственное, где можно попасться, это допустить, что максимум - где числовое значение x больше (но у меня на практике таких чудес никто не вытворял, но мало ли), а минимум - где меньше. Нет. Мы проверяем по возрастанию и убыванию начальной функции.

Производная кубической функции - квадратное уравнение и тут я опять лайфхачила и хитрила, где только можно. Обратно - всегда можно решать честным дискриминантом.

4) Функции с натуральным логарифмом.

Мы знаем, что производная ln(x) = 1/x. Если перед логарифмом стоит множитель, то он идет в числитель, а вот если в логарифме есть степень, то ее сначала нужно спустить как множитель, и потом только считать (не множитель внутри логарифма, типа ln(2x). Эту ловушку посмотрим в блоке со значениями. Здесь оно не попалось).

Соответственно виды я разложила по мере усложнения. Сначала чистый логарифм, потом логарифм с множителем и логарифм со степенью.

Тип 2. Определение наименьшего и набольшего значения функции.

Здесь алгоритм действий состоит из двух пунктов: 1) просчитывание концов отрезка. Часто это действие можно опустить, так как значения могут быть иррациональны. Спасибо первой части ЕГЭ и ее условности о целой, или десятичной записи ответа =) 2) вычисление точек экстремума (минимум и максимум, чем мы занимались в типе задач №1), затем подставляем точки в функцию и вычисляем значение. С ответами тут все более очевидно и прямолинейно. Где число больше - там максимум, где меньше - минимум.

1) Функции с корнем.

Тут ничего особенного, все было сказано выше.

2) Натуральный логарифм.

С произведением и степенью разобрались в прошлом типе №1. А вот здесь встречается вид ln(ax), где a - число.

Его нужно преобразовывать по свойству логарифма: произведение в логарифме равно сумме логарифмов:

ln(ax) = ln(a) + ln(x)

А когда вычисляем производную, ln(a) как число обращается в ноль и остается только производная ln(x) = 1/x.

Ошибка, которую можно совершить: ln(ax) = 1/(ax). Поэтому тут нужно быть внимательным.

Опять логарифмы расположила по мере увеличения сложности (по моему мнению):

3) Тригонометрические функции

Здесь у нас функции с синусом и косинусом. Они все сводятся к поиску нужного числа по концам отрезка (уравнение по производной не имеет решений).

Я поделю их по видам так: один из концов дает иррациональное значение и оба конца считаются.

-17