Добавить в корзинуПозвонить
Найти в Дзене
Postgres DBA

Основная гипотеза корреляционного анализа ожиданий СУБД

Статистически обработанные значения количеств ожиданий по типам (wait_event_type) , событиям ожиданий (wait_event) на уровне кластера и SQL выражений , за заданный период анализа. Общая интерпретация значений коэффициента корреляции : Определяется тип ожидания (wait_event_type), имеющий наименьший коэффициент корреляции(❗отрицательная корреляция❗) с операционной скоростью.  ————— ℹ️При продуктивной нагрузке , количество выполнений одного запроса , как правило недостаточно , для надежной корреляции. 📝Выполняется только Шаг 1. ————— Определяется событие ожидания (wait_event) , имеющий наибольший коэффициент корреляции (❗положительная корреляция❗) с типом ожидания , определённом на предыдущем шаге. Определяется SQL запрос, имеющий наибольший коэффициент корреляции (❗положительная корреляция❗) между количеством ожидания(wait_event, определённом на предыдущем шаге) запроса и количеством ожиданий кластера . Найденный SQL запрос будет запросом , имеющим наибольшее влияние на снижение прои
Оглавление

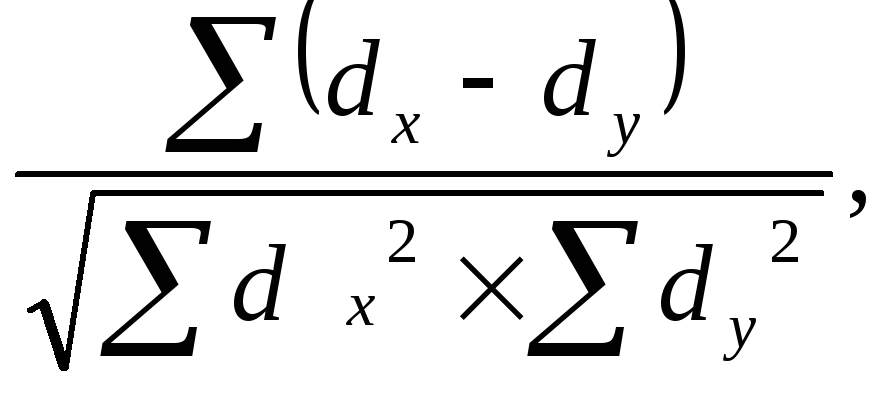
Коэффициент корреляции Пирсона
Коэффициент корреляции Пирсона

Входные данные

Статистически обработанные значения количеств ожиданий по типам (wait_event_type) , событиям ожиданий (wait_event) на уровне кластера и SQL выражений , за заданный период анализа.

Общая интерпретация значений коэффициента корреляции :

  • Очень слабая корреляция: [0 до 0.2]
  • Слабая корреляция: (0.2 до 0.5].
  • ️Средняя корреляция: (0.5 до 0.7] .
  • ️Сильная корреляция: (0.7 до 0.9].
  • ️Очень сильная корреляция: (0.9 до 1].

Общая идея и последовательность действий

Шаг 1

Определяется тип ожидания (wait_event_type), имеющий наименьший коэффициент корреляции(❗отрицательная корреляция❗) с операционной скоростью. 

—————

⚠️Шаги 2 и 3 применимы только для сценариев нагрузочного тестирования - в случае многократного выполнения тестового запроса.

ℹ️При продуктивной нагрузке , количество выполнений одного запроса , как правило недостаточно , для надежной корреляции.

📝Выполняется только Шаг 1.

—————

Шаг 2

Определяется событие ожидания (wait_event) , имеющий наибольший коэффициент корреляции (❗положительная корреляция❗) с типом ожидания , определённом на предыдущем шаге.

Шаг 3

Определяется SQL запрос, имеющий наибольший коэффициент корреляции (❗положительная корреляция❗) между количеством ожидания(wait_event, определённом на предыдущем шаге) запроса и количеством ожиданий кластера .

ГИПОТЕЗА

Найденный SQL запрос будет запросом , имеющим наибольшее влияние на снижение производительности СУБД, в целом.

Важное дополнение и ограничение.

Чем больше заданный промежуток анализа данных, тем надёжнее результат .

Доказательство

Гипотеза не может быть строго доказана по причине неполноты собираемых данных об ожиданиях СУБД.

Например - не собирается статистика ожиданий CPU.

Возможна ситуация - гипервизор уменьшил тактовую частоту CPU , но со стороны СУБД данное событие никак не будет зафиксировано.

Однако, для практических целей корреляционного анализа ожиданий СУБД, гипотеза может быть принята в качестве рабочей.