Добавить в корзинуПозвонить
Найти в Дзене
Перов

Система линейных уравнений. Метод подстановки

Что из себя представляет система уравнений? Система уравнений состоит из более, чем двух уравнений, в которых помимо переменной x, содержатся другие переменные (например: y, z, t и т. д.). Рассмотрим систему уравнений, состоящую из двух уравнений с двумя переменными x и y: Какое будет решение у данной системы? Мы должны найти значение переменных x и y. Для того, чтобы решить такую систему, можно воспользоваться двумя способами решения: метод подстановки и метод сложения. Самым базовым методом является метод подстановки, его как раз и разберем подробнее. Метод подстановки. Чтобы разобраться в чем суть данного метода, решим поэтапно систему уравнений, приведенную выше. Поскольку одно уравнение с двумя переменными мы решать не умеем, то мы должны добиться того, чтобы одно из уравнений было с одной переменной. Что для этого надо сделать? Название метода говорит само за себя. Мы можем выразить, допустим, в одном уравнении переменную x как какое-то выражение и подставить его во второе, и реш

Что из себя представляет система уравнений? Система уравнений состоит из более, чем двух уравнений, в которых помимо переменной x, содержатся другие переменные (например: y, z, t и т. д.).

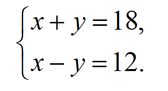
Рассмотрим систему уравнений, состоящую из двух уравнений с двумя переменными x и y:

Какое будет решение у данной системы? Мы должны найти значение переменных x и y.

Для того, чтобы решить такую систему, можно воспользоваться двумя способами решения: метод подстановки и метод сложения. Самым базовым методом является метод подстановки, его как раз и разберем подробнее.

Метод подстановки.

Чтобы разобраться в чем суть данного метода, решим поэтапно систему уравнений, приведенную выше.

Поскольку одно уравнение с двумя переменными мы решать не умеем, то мы должны добиться того, чтобы одно из уравнений было с одной переменной. Что для этого надо сделать? Название метода говорит само за себя. Мы можем выразить, допустим, в одном уравнении переменную x как какое-то выражение и подставить его во второе, и решить второе уравнение относительно y.

Скорее всего, читатель, увы, не очень понял, как это все выглядит и как это решать. Разберем наглядный пример

Имеем:

-2

1. Выразим во втором уравнении переменную x, получим:

-3

2. Что мы получили? Переменная x равна выражению 12 + y. Теперь подставим это выражение в первое уравнение вместо x:

-4

3. Вот Вам и суть метода подстановки. Мы получили линейное уравнение относительно y. Такое мы решать уже умеем. Получаем:

-5

4. Мы нашли чему равен y. Теперь система выглядит следующим образом:

-6

5. Дело осталось за малым. Мы знаем, чему равен y и можем подставить его значение во второе уравнение, тем самым мы найдем чему равен x:

-7

Система уравнений решена! Ответ надо записывать следующим образом: (x; y). В нашем случае: (15; 3).

Пример 1. Решите систему уравнений:

-8

Решение. Имеем:

-9

Ответ: (-42; -72).

Пример 2. Решите систему уравнений:

-10

Решение. Имеем:

-11

Далее, чтобы выразить x, разделим левую и правую часть второго уравнения на 2, получим:

-12

Комментарий. Напомним следующее свойство дроби:

-13

Тогда

-14

Вернемся к системе:

-15

Следовательно, ответом к исходной системе является пара чисел: (3; 5/2).

Ответ: (3; 5/2).

Задания для самостоятельного решения.

-16
Если Вы плохо понимаете математику и хотите повысить уровень знаний, можете записаться ко мне на занятия! Со мной можно связаться через телеграмм: @rd_mach. Или через авито.
Репетитор по математике в Санкт-Петербурге | Услуги | Авито