Найти в Дзене
Антенна.Тех

СВЧ в спутниковой связи: передача данных через спутники

Современная спутниковая связь — это технология, которая обеспечивает глобальную коммуникацию, от трансляции телевидения до навигации и интернета. Основой её эффективности являются сверхвысокие частоты (СВЧ), позволяющие передавать данные на огромные расстояния. В этой статье мы рассмотрим ключевые диапазоны СВЧ, их применение, а также современные системы и тенденции развития. Сверхвысокие частоты охватывают диапазон от 300 МГц до 300 ГГц, но в спутниковой связи наиболее активно используются частоты выше 1 ГГц. Это связано с их высокой пропускной способностью и минимизацией помех. Основные применяемые диапазоны: Почему не используются частоты ниже 1 ГГц?
Они заняты наземными системами (радио, мобильная связь) и имеют ограниченную пропускную способность. СВЧ-диапазоны выделены специально для спутников, что снижает интерференцию. С его помощью можно оценить мощность сигнала на приемнике: где: Пример:
Для спутника на геостационарной орбите (d=35786км), Pt​=100Вт, Gt​=Gr​=40дБ, частота 12ГГ
Оглавление

Современная спутниковая связь — это технология, которая обеспечивает глобальную коммуникацию, от трансляции телевидения до навигации и интернета. Основой её эффективности являются сверхвысокие частоты (СВЧ), позволяющие передавать данные на огромные расстояния. В этой статье мы рассмотрим ключевые диапазоны СВЧ, их применение, а также современные системы и тенденции развития.

СВЧ-диапазоны и их применение

Сверхвысокие частоты охватывают диапазон от 300 МГц до 300 ГГц, но в спутниковой связи наиболее активно используются частоты выше 1 ГГц. Это связано с их высокой пропускной способностью и минимизацией помех. Основные применяемые диапазоны:

  • C-диапазон (4–8 ГГц):
    Устойчивость к погоде: Минимальное затухание из-за дождя.
    Примеры: Телекоммуникационные спутники (Intelsat, SES), спутниковое ТВ в регионах с частыми осадками (Азия, Африка).
  • Ku-диапазон (12–18 ГГц):
    Высокая скорость: Используется для прямого спутникового телевидения (Dish Network, Sky) и широкополосного интернета (VSAT).
  • Ka-диапазон (26,5–40 ГГц):
    Сверхвысокая пропускная способность: Применяется в системах нового поколения, таких как Starlink (SpaceX) и HughesNet.
  • L- и S-диапазоны (1–4 ГГц):
    Навигация и мобильная связь: GPS, ГЛОНАСС, спутниковая телефония (Inmarsat, Iridium).

Почему не используются частоты ниже 1 ГГц?
Они заняты наземными системами (радио, мобильная связь) и имеют ограниченную пропускную способность. СВЧ-диапазоны выделены специально для спутников, что снижает интерференцию.

Ключевые зависимости спутниковой связи

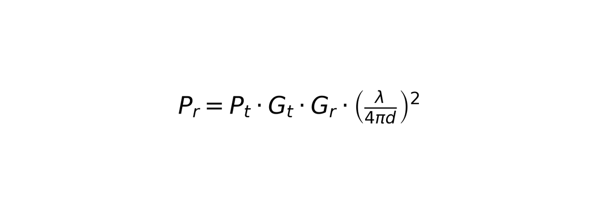
Уравнение Фрииса

С его помощью можно оценить мощность сигнала на приемнике:

уравнение Фрииса
уравнение Фрииса

где:

  • Pr​ — мощность на приемнике (Вт),
  • Pt​ — мощность передатчика (Вт),
  • Gt​, Gr​ — коэффициенты усиления передающей и приёмной антенн,
  • λ — длина волны,
  • d — расстояние до спутника.

Пример:
Для спутника на геостационарной орбите (
d=35786км), Pt​=100Вт, Gt​=Gr​=40дБ, частота 12ГГц (λ=2.5см):

пример расчёта по формуле Фрииса
пример расчёта по формуле Фрииса

Это объясняет, почему антенны с высоким усилением критичны для компенсации потерь.

Потери в свободном пространстве (FSPL)

формула расчёта потерь в свободном пространстве
формула расчёта потерь в свободном пространстве

Для спутника на геостационарной орбите на 12 ГГц:

пример расчёта потерь в свободном пространстве
пример расчёта потерь в свободном пространстве

Время задержки сигнала

Время задержки для спутника на высоте h:

время задержки сигнала
время задержки сигнала

где c=3×10^8 м/с — скорость света.

Пример:

  • GEO-спутник (h=35786км):
расчёт времени задержки сигнала для спутника на GEO-орбите
расчёт времени задержки сигнала для спутника на GEO-орбите
  • LEO-спутник (h=550км, Starlink):
расчёт времени задержки сигнала для спутника на LEO-орбите
расчёт времени задержки сигнала для спутника на LEO-орбите

Формула Шеннона-Хартли (оценка пропускной способности)

Максимальная скорость передачи данных:

формула шеннона-хартли
формула шеннона-хартли

где:

  • C — пропускная способность (бит/с),
  • B — ширина канала (Гц),
  • S/N — отношение сигнал/шум.

Пример:
Для канала
B=36МГц и S/N=10дБ:

приммер расчёта скорости передачи данных
приммер расчёта скорости передачи данных

Дождевое затухание (ITU-R P.838)

Ослабление сигнала в дождь:

формула расчёта затухания сигнала из-за дождя
формула расчёта затухания сигнала из-за дождя

где:

  • R — интенсивность дождя (мм/ч),
  • L — длина пути в дождевой зоне (км),
  • k,α — частотно-зависимые коэффициенты.

Пример:
Для Ka-диапазона (30 ГГц),
R=50мм/ч, L=5км:

пример расчёта потерь из-за дождя
пример расчёта потерь из-за дождя

Принцип работы спутниковой связи

  1. Наземная станция генерирует сигнал в СВЧ-диапазоне и передает его на спутник через направленную антенну.
  2. Спутник принимает, усиливает сигнал и ретранслирует его обратно на Землю или на другой спутник.
  3. Приемное оборудование (например, спутниковая тарелка) улавливает сигнал и преобразует его в данные.
источник: https://e-cis.info/news/569/100684/
источник: https://e-cis.info/news/569/100684/

Ключевые моменты:

  • Геостационарные спутники (GEO) используются для постоянного покрытия большой зоны.
  • Низкоорбитальные спутники (LEO) применяются для снижения задержек передачи сигнала (например, Starlink).

Преимущества, которые даёт применение СВЧ в спутниковой связи

  1. Глобальный охват: Связь доступна в удаленных регионах, океанах и полярных зонах.
  2. Высокая скорость: Поддержка HD-видео, онлайн-игр и потоковой передачи данных.
  3. Устойчивость: Меньше помех по сравнению с низкочастотными диапазонами.
  4. Гибкость: Возможность комбинировать разные диапазоны под конкретные задачи (например, C-диапазон для дождливых регионов).

Проблемы и решения

  • Дождевое затухание: Сигналы Ku- и Ka-диапазонов ослабляются во время ливней.
    Решение: Резервирование мощности, переключение на C-диапазон.
  • Высокая стоимость: Запуск спутников и наземной инфраструктуры требует больших инвестиций.
    Решение: Массовое производство спутников (как в проекте Starlink).
  • Задержки в GEO-системах: ~240 мс из-за расстояния до спутника (36 000 км).
    Решение: Низкоорбитальные спутники (LEO) с задержкой 20–40 мс.

Примеры современных систем

  • Starlink (Ka/Ku-диапазоны):
    — Сеть из тысяч LEO-спутников для высокоскоростного интернета.
    — Задержка менее 40 мс, скорость до 1 Гбит/с.
источник: https://abclight.ru/blog/tpost/kr4v5l8381-starlink-obedinila-9-tisyach-sputnikov-s
источник: https://abclight.ru/blog/tpost/kr4v5l8381-starlink-obedinila-9-tisyach-sputnikov-s
  • GPS (L1-диапазон):
    — Передача навигационных данных с точностью до метра.
  • Спутниковое ТВ (Dish Network):
    — Трансляция сотен каналов в форматах HD и 4K через Ku-диапазон.

Будущее технологий

  1. Фазированные антенные решетки:
    — Динамическое управление лучом без механических элементов (используется в Starlink).
  2. Гибридные системы:
    — Комбинация спутниковой и наземной 5G-связи для покрытия «белых пятен».
  3. Квантовая спутниковая связь:
    — Эксперименты с защищенной передачей данных (китайский спутник Micius).

Заключение

СВЧ-диапазоны остаются основой спутниковой связи благодаря своей надежности и высокой пропускной способности. Современные системы, такие как Starlink и GPS, демонстрируют, как технологии адаптируются к вызовам — от борьбы с затуханием до снижения задержек. С развитием технологий спутниковая коммуникация продолжит объединять мир, обеспечивая связь даже в самых отдаленных уголках планеты.