Добавить в корзинуПозвонить
Найти в Дзене
Перов

Рациональные уравнения

Рациональное уравнение — это вид уравнения, в котором присутствует дробь, и переменная x находится в знаменателе этой дроби. Приведем пример рациональных уравнений: Как решать такие уравнения? Здесь надо избавиться от знаменателя. То есть надо умножить все уравнение на выражение, находящееся в знаменателе (чтобы знаменатель сократился). Давайте разберем это на конкретном примере. Пример 1. Решим уравнение Решение. В правой части уравнения находится дробь со знаменателем x + 3. Умножим все уравнение на x + 3 и получим линейное уравнение. Перед тем как домножать на x + 3 надо сделать важное замечание. Замечание. Еще с начальных классов мы знаем, что на ноль делить нельзя. Что представляет из себя дробь – это действие деления. То есть дробь четыре вторых это тоже самое, что 4 : 2 = 2. Значит, в знаменателе дроби также не может быть нуля. В нашем примере дана дробь со знаменателем x + 3. Мы не можем сказать, чему точно равно это выражение (при различных значениях переменной выражение буде

Рациональное уравнение — это вид уравнения, в котором присутствует дробь, и переменная x находится в знаменателе этой дроби. Приведем пример рациональных уравнений:

Как решать такие уравнения? Здесь надо избавиться от знаменателя. То есть надо умножить все уравнение на выражение, находящееся в знаменателе (чтобы знаменатель сократился). Давайте разберем это на конкретном примере.

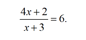
Пример 1. Решим уравнение

-2

Решение. В правой части уравнения находится дробь со знаменателем x + 3. Умножим все уравнение на x + 3 и получим линейное уравнение.

Перед тем как домножать на x + 3 надо сделать важное замечание.

Замечание. Еще с начальных классов мы знаем, что на ноль делить нельзя. Что представляет из себя дробь – это действие деления. То есть дробь четыре вторых это тоже самое, что 4 : 2 = 2. Значит, в знаменателе дроби также не может быть нуля.

В нашем примере дана дробь со знаменателем x + 3. Мы не можем сказать, чему точно равно это выражение (при различных значениях переменной выражение будет постоянно меняться). Но мы можем определить, при каких значениях x это выражение обратится в нуль. То есть надо решить уравнение:

-3

Значит, при x = –3 дробь не будет существовать, потому что знаменатель будет равен нулю. Следовательно, уравнение при таком x решить нельзя.

Для чего мы нашли это значение переменной. В конце решения уравнения бывает получается несколько корней, и один из этих корней может обратить знаменатель в нуль. Следовательно, такой корень не будет являться решением.

Запомнили, что x не может быть равен –3. Решим уравнение:

-4

После домножения на выражение x + 3 мы привели рациональное уравнение к линейному. Решаем полученное линейное уравнение:

-5

Поскольку –8 не равно –3, значит, x = –8 — решение исходного уравнения.

Ответ: –8.

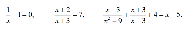
Разберем еще два примера.

Пример 2. Решим уравнение

-6

Решение. В данном уравнение присутствует две дроби с разными знаменателями — x и x + 2. Надо избавиться от них, то есть надо домножить уравнение на x ∙ (x + 2).

Найдем, при каких x знаменатели оборачиваются в нуль. При x = 0 и при x+ 2 = 0 или x = –2.

Запомним, что x не может быть равен –2 и 0. Решим уравнение:

-7

Поскольку 2 не равно –2 и 0, значит, x = 2 — решение исходного уравнения.

Ответ: 2.

Примечание. Когда мы ищем при каких переменных мы можем решать уравнение, мы ищем так называемое ОДЗ (область допустимых значений).

Определение. Область допустимых значений — это множество значений переменной, при которых данное выражение определено.

То есть ОДЗ уравнения во втором примере является x ≠ 0 и x ≠ –2. То есть при всех x, кроме –2 и 0, уравнение имеет смысл.

Пример 3. Решите уравнение

-8

Решение. Домножим уравнение на x ∙ (x +1). Запишем ОДЗ: x ≠ 0 и x+ 1 ≠ 0 или x ≠ –1. Решим уравнение:

-9

Откуда имеем два решения x = 0 и x = 2. Но в ОДЗ мы записали, что x ≠ 0. Значит, решением будет только x = 2.

Ответ: 2.

Если Вы плохо понимаете математику и хотите повысить уровень знаний, можете записаться ко мне на занятия! Со мной можно связаться через телеграмм: @rd_mach. Или через авито.
Репетитор по математике в Санкт-Петербурге | Услуги | Авито