Добавить в корзинуПозвонить
Найти в Дзене
EdvarsOnline

Физика10. Статья. ОК 045. Задача 9. Закон Кулона. Четыре одинаковых точечных заряда по 10нКл каждый расположены в вершинах квадрата со ...

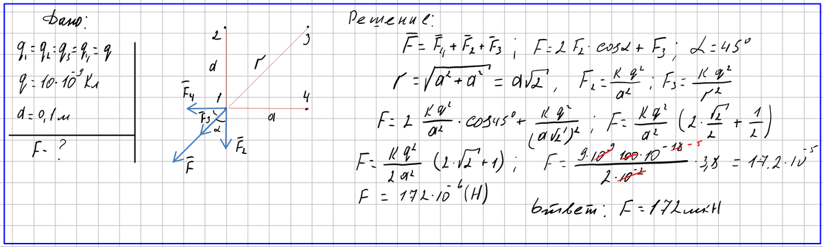
Задача №9. Четыре одинаковых точечных заряда по 10нКл каждый расположены в вершинах квадрата со стороной 10см. Найти силу, действующую со стороны трех зарядов на четвёртый. Для подробного изучения решения задачи посмотрите видео:

Электростатика. Закон Кулона.

Задача №9. Четыре одинаковых точечных заряда по 10нКл каждый расположены в вершинах квадрата со стороной 10см. Найти силу, действующую со стороны трех зарядов на четвёртый.

Для подробного изучения решения задачи посмотрите видео: