Добавить в корзинуПозвонить
Найти в Дзене
Дмитрий Деркач

Логарифмическое неравенство и сумма двух модулей

Ященко 2025. Вариант 13 Решите неравенство Сразу понятно, что это неприятное неравенство. Красивых ходов решения я не увидел, поэтому решим стандартным техническим методом. Такое решение тоже, в принципе, является приемлемым, если аккуратно выполнить все выкладки. Сложно представить, что такое задание будет на реальном ЕГЭ. Оно просто отнимет у учащихся много времени. А для тренировки навыков полезно самостоятельно его решить. Приступаем Раз это логарифмическое неравенство, то начнем с ограничений (ОДЗ). Раскрывать сумму двух модулей принято на промежутках. Для этого находят нули каждого модуля, обычно получают 3 промежутка, расставляют на них знаки каждого выражения под знаком модуля и решают неравенство 3 раза Мы же рассмотрим 4 случая – все варианты раскрытия двух модулей: Такой подход может показаться не рациональным. Но, как показывает практика, школьникам такой перебор вариантов более понятен. Ведь в массовой школе редко удается много внимания уделить уравнениям с модулями и отр
Оглавление

Ященко 2025. Вариант 13

Условие

Решите неравенство

Решение

Сразу понятно, что это неприятное неравенство. Красивых ходов решения я не увидел, поэтому решим стандартным техническим методом. Такое решение тоже, в принципе, является приемлемым, если аккуратно выполнить все выкладки. Сложно представить, что такое задание будет на реальном ЕГЭ. Оно просто отнимет у учащихся много времени. А для тренировки навыков полезно самостоятельно его решить.

Приступаем

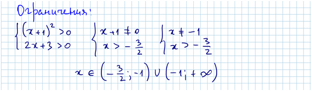
Раз это логарифмическое неравенство, то начнем с ограничений (ОДЗ).

-2

Раскрывать сумму двух модулей принято на промежутках. Для этого находят нули каждого модуля, обычно получают 3 промежутка, расставляют на них знаки каждого выражения под знаком модуля и решают неравенство 3 раза

Мы же рассмотрим 4 случая – все варианты раскрытия двух модулей:

-3

Такой подход может показаться не рациональным. Но, как показывает практика, школьникам такой перебор вариантов более понятен. Ведь в массовой школе редко удается много внимания уделить уравнениям с модулями и отработать алгоритм построения и перебора промежутков.

В нашем случае количество выкладок увеличивается не существенно. Кроме того, решается фактически первая система, а решение остальных можно быстро получить на основе решения первой системы

Первый случай

-4

Полученную систему неравенств решим графически и сразу пересечем с ограничениями на логарифмы, найденными в самом начале решения. Это поможет в дальнейшем решении

-5

Получаем результат пересечения всех промежутков:

-6

Теперь переходим к решению самого неравенства для первого случая, когда каждый модуль раскрывается со знаком «плюс»:

-7

Получаем неравенство

-8

Надо, чтобы логарифмы имели одинаковые основания. Поэтому первый логарифм преобразовали. Под знаком логарифма оказался модуль, т.к. в общем случае, если вынести четную степень из под знака логарифма (которая «защищала» от отрицательности выражение под знаком логарифма), то надо написать модуль (чтобы он защищал» от отрицательности выражение под знаком логарифма):

-9

Этот модуль можно не писать, если позволяют ограничения. В нашем случае, х больше или равен 3, т.е. (х +1) больше нуля. Значит, модуль можно не писать:

-10

Далее решаем стандартным способом:

-11

Получили квадратное неравенство с «некрасивыми» нулями.

-12

Решаем его методом интервалов и сразу учитываем ограничения:

-13

Такой результат на реальном экзамене заставит поволноваться учащихся, т.к. числа с радикалами наталкивают на сомнения в правильности своего решения.

Рассмотрение первого случая завершено. Далее будем решать, опираясь на проведенные выкладки в аналогичных рассуждениях.

Второй случай

Второй случай раскрытия модулей в исходном неравенстве:

-14

Для решения записанной системы неравенств использовали результаты, полученные при рассмотрении первого случая

Оказалось, что в сделанном предположении на знаки выражения под знаком модуля нет пересечения с исходными ограничениями для данного по условию неравенства. Поэтому рассмотрение второго случая завершено

Третий случай

Третий случай раскрытия модулей в исходном неравенстве:

-15

Как и ранее условия на выражения под знаком модуля сразу рассмотрели с ограничениями на логарифмы

-16

Другими словами, первый модуль раскрываем со знаком «минус», а второй модуль раскрываем со знаком «плюс»

-17

Воспользуемся полученным выше условием на переменную:

-18

Получаем:

-19

С учетом условия на переменную получаем решение третьего случая:

-20

Четвертый случай

Четвертый случай раскрытия модулей в исходном неравенстве:

-21

Как и ранее условия на выражения под знаком модуля сразу рассмотрели с ограничениями на логарифмы

-22

Получаем:

-23

Ограничения на переменную в рассматриваемом четвертом случае не позволяют раскрыть модуль у первого логарифма

-24

Ограничения на переменную сейчас имеют вид:

-25

Поэтому можно рассмотреть два случая:

-26

Второе неравенство системы не имеет решений, значит, и система не имеет решений

-27

Пересечений промежутков для каждого неравенства системы пусто, значит и эта система не имеет решений

Таким образом, в четвертом случаем получили, что решений нет

Осталось объединить найденные решения во всех случаях. Получаем:

-28

Решение завершено. Получилось длинно

___________________________________________________________________________________

-29