Найти в Дзене
Алена учит решать 🧠

ОДЗ - зло? Как писать ограничения в уравнениях и неравенствах на ЕГЭ, чтобы не сняли баллы?

ОДЗ (область допустимых значений) — это множество значений переменных, при которых математическое выражение (уравнение или неравенство) имеет смысл и может быть решено в пределах рассматриваемой задачи. ОДЗ указывается для того, чтобы исключить значения, которые приводят к математически некорректным ситуациям, таким как деление на ноль, извлечение корня четной степени из отрицательных чисел (в области действительных чисел) или логарифмирование отрицательных чисел и нуля. Проще говоря, мы должны указывать и решать ОДЗ, чтобы в конечном счете не вышло так, что мы нашли корень, но если его подставить в исходное уравнение/неравенство, получается бессмыслица. Отличным примером в пользу значимости ОДЗ служит уравнение, которое было дано на ОГЭ 2022 года в центральных регионах. Как мы видим, квадратные корни взаимоуничтожаются и нам остается решить полное квадратное уравнение. Банально, не так ли? Итак, корнями квадратного являются числа -2 и 4. И некоторые ученики записали их обоих в ответ.
Оглавление

Что такое ОДЗ и почему оно ТАК ВАЖНО?

ОДЗ (область допустимых значений) — это множество значений переменных, при которых математическое выражение (уравнение или неравенство) имеет смысл и может быть решено в пределах рассматриваемой задачи.

ОДЗ указывается для того, чтобы исключить значения, которые приводят к математически некорректным ситуациям, таким как деление на ноль, извлечение корня четной степени из отрицательных чисел (в области действительных чисел) или логарифмирование отрицательных чисел и нуля.

Проще говоря, мы должны указывать и решать ОДЗ, чтобы в конечном счете не вышло так, что мы нашли корень, но если его подставить в исходное уравнение/неравенство, получается бессмыслица.

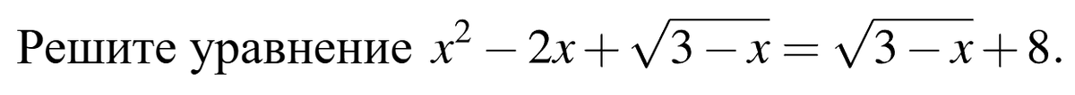
Отличным примером в пользу значимости ОДЗ служит уравнение, которое было дано на ОГЭ 2022 года в центральных регионах.
21 задание, ОГЭ 2022, ЦЕНТР
21 задание, ОГЭ 2022, ЦЕНТР

Как мы видим, квадратные корни взаимоуничтожаются и нам остается решить полное квадратное уравнение. Банально, не так ли?

Итак, корнями квадратного являются числа -2 и 4. И некоторые ученики записали их обоих в ответ. Но что, собственно, не так?

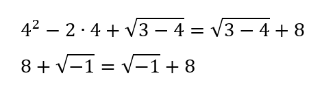
А давайте попробуем подставить корень x=4 в исходное иррациональное уравнение вместо икса. Получим:

Проверка корня x=4
Проверка корня x=4

На ЕГЭ и уж тем более на ОГЭ мы не пользуемся комплексными числами, которые позволяют извлекать квадратный корень из отрицательного числа. Так что в действительных числах у нас получилась полная ерунда!

А значит x=4 - посторонний корень. Да, он является корнем квадратного, но не исходного иррационального уравнения, которое нас просили решить.

Как на ОГЭ, так и на ЕГЭ за запись такого корня в ответ мы точно получаем 0 баллов.

Чтобы с тобой такого не случилось, читай статью дальше :)

Когда необходимо учесть ОДЗ?

Основные случаи, когда нужно указывать ОДЗ:

1. Рациональные выражения (деление на выражение, содержащее неизвестную)

На ноль делить нельзя!

Пример ОДЗ в дробно-рациональном уравнении
Пример ОДЗ в дробно-рациональном уравнении

2. Иррациональные выражения с арифметическим корнем

Если степень корня нечётная (например, кубический корень), то подкоренное выражение может быть любым действительным числом, включая отрицательные.

Если степень корня чётная, то подкоренное выражение должно быть неотрицательным.

3. Логарифмические выражения

  • Основание логарифма должно быть положительным и не должно равняться единице.
  • Подлогарифмическое выражение должно быть положительным.
Ограничения логарифма
Ограничения логарифма

Примеры задач из ЕГЭ с решениями

В этой части статьи я покажу вам несколько примеров решения задач из ЕГЭ, которые выполнены на полный балл 🤓

Пример 1. Логарифмическое неравенство первой степени

Задача №15, ЕГЭ по математике 29.03.2024. Досрочная волна. Дальний Восток
Задача №15, ЕГЭ по математике 29.03.2024. Досрочная волна. Дальний Восток
-8

Пример 2. Неравенство, рациональное относительно логарифмической функции

Задача №15, ЕГЭ по математике 20.06.2024. Основная волна, резервный день.
Задача №15, ЕГЭ по математике 20.06.2024. Основная волна, резервный день.
-10

Пример 3. Уравнение, рациональное относительно тригонометрической функции

Задача №13, открытый банк заданий ФИПИ
Задача №13, открытый банк заданий ФИПИ
-12

Пример 4. Иррациональное неравенство

Иррациональные уравнения/неравенства за последние 6 лет на реальном ЕГЭ в №13 и №15 не попадались. Поиск в ОБЗ ФИПИ так же не дал результатов (не считая тригонометрического уравнения выше).
Тем не менее, иррациональные уравнения/неравенства были предложены к решению в №18 высокого уровня сложности (задача с параметром) в разные годы.

В рамках этой статьи разговор о задачах с параметром не пойдет. Но один пример иррационального неравенства мы все же рассмотрим.

Иррациональное неравенство №15 из банка заданий на сайте РЕШУ ЕГЭ
Иррациональное неравенство №15 из банка заданий на сайте РЕШУ ЕГЭ
-14

Почему ОДЗ - зло и чем его заменить?

Все дело в том, что ОДЗ должно быть точным и полным, права на ошибку нет. А какие вообще могут быть ошибки? Их всего две:

1. Записаны не все условия, которые должны войти в запись ОДЗ

2. Записано лишнее условие в ОДЗ

В случае неточностей в ОДЗ проверяющий эксперт в праве не смотреть вашу работу дальше и поставить 0 баллов за задание.

Приведу пример.

Пример неверной записи ОДЗ

Рациональное неравенство №15 из банка заданий на сайте РЕШУ ЕГЭ
Рациональное неравенство №15 из банка заданий на сайте РЕШУ ЕГЭ
НЕВЕРНОЕ ОДЗ
НЕВЕРНОЕ ОДЗ

Комментарий: конечно же ОДЗ в данном случае записано НЕВЕРНО. С чего бы вдруг знаменатель обязан быть отрицательным? Возможно, вы скажите, "ну знак неравенства же меньше или равно нуля". Окей, но что, если я вам скажу, что дробь будет принимать отрицательные значения если числитель и знаменатель разных знаков и вполне вероятно, что решения у этого неравенства будут при отрицательном числителе и положительном знаменателе?

Верное ОДЗ в данном случае: выражение в знаменателе не равно нулю. Все.

P.S. В подобного рода неравенствах я вообще бы рекомендовала обойтись без ОДЗ, ибо решая их методом интервалов, мы и так выкалываем "неугодные" точки.

Чем заменить ОДЗ?

В последнее время все чаще вижу, что ученики пишут не ОДЗ, а "ОГР". Что это? Почему? Зачем?👾

Шрек, помоги нам на егэ!
Шрек, помоги нам на егэ!

Дело в том, что за само упоминание ОДЗ надо, что называется, ответить: написать все четко и без ошибок (указала их в предыдущем пункте раздела). А с ОГР. (по-русски "ограничением"), якобы, все не так строго. Впрочем, должно быть, так и есть.

Эксперты ЕГЭ не рекомендуют писать ОДЗ, но за правильное его написание баллы не снимут.

Как же все таки поступить, если и писать ОДЗ не хочется, и баллы терять тоже не хочется? 🤔

Вот несколько вариантов:

1. Вместо одз пишем что-то типа "ограничения", "должны соблюдаться условия" и т.п.

2. Пишем все необходимые условия прямо в одной системе с уравнением/неравенством. Ниже покажу примеры такого оформления.

В качестве первого примера разберем решение тригонометрического уравнения №13.

Тригонометрическое уравнение №13 из банка заданий на сайте РЕШУ ЕГЭ
Тригонометрическое уравнение №13 из банка заданий на сайте РЕШУ ЕГЭ
-19

Как мы видим, условия косинус не равен нулю (из-за присутствия тангенса в уравнении) и косинус больше или равен нулю (из-за присутствия под корнем) указаны в одной системе с решением уравнения. Оба эти условия вполне могли быть решены в рамках ОДЗ с его указанием.

Все условия при решении очень просты, не требуют подробного расписывания, поэтому оформление очень лаконичное.

Рассмотрим решение еще одного задания, где расписывать все же нужно больше.

Логарифмическое неравенство №15 из банка заданий на сайте РЕШУ ЕГЭ
Логарифмическое неравенство №15 из банка заданий на сайте РЕШУ ЕГЭ
Решение логарифмического неравенства без упоминания ОДЗ
Решение логарифмического неравенства без упоминания ОДЗ

Как вы видите, мы можем присвоить номера каждому условию и спокойно решить каждое по отдельности. При этом и нам все понятно, и проверяющий эксперт не снизит балл за недостаточное обоснование решения. 😎

На этом все. Спасибо за внимание!!!

Буду благодарна за лайки и комментарии к этой статье, подписку на канал ❤️✨

https://t.me/allmathhh

-22