Найти в Дзене
Дмитрий Деркач

Логарифмическое неравенство. Ященко 2025. Вариант 17

Заметим, что знаменатель не может быть отрицательным: Значит, числитель должен быть не отрицательным, а знаменатель не равен нулю Запишем и решим ограничения: То, что знаменатель не равен нулю учли в ограничениях. Получаем, что числитель больше или равен нулю: Т.к. основание логарифма больше единицы, то знак неравенства не меняем: С учетом ограничений: Примечание Выносить за знак логарифма все показатели степени в знаменателе не рационально, но можно (ограничения положительность переменной х не гарантируют, поэтому под знаком логарифма остается модуль): Неравенство можно решить с помощью метода рационализации (знакотождественной замены множителей) Выражения принимают одинаковые знаки с учетом ограничений на логарифм в силу монотонности логарифмической функции Получаем: С учетом ограничений В качестве упражнения полезно решить аналогичное задание: Ответ: _______________________________________________________________________________________
Оглавление

1. Решить неравенство (пример 1)

Источник: Ященко И.В., 36 вариантов, 2025, вариант 17
Источник: Ященко И.В., 36 вариантов, 2025, вариант 17

Заметим, что знаменатель не может быть отрицательным:

-2

Значит, числитель должен быть не отрицательным, а знаменатель не равен нулю

Запишем и решим ограничения:

-3

То, что знаменатель не равен нулю учли в ограничениях. Получаем, что числитель больше или равен нулю:

-4

Т.к. основание логарифма больше единицы, то знак неравенства не меняем:

-5

С учетом ограничений:

-6
Примечание
Выносить за знак логарифма все показатели степени в знаменателе не рационально, но можно (ограничения положительность переменной х не гарантируют, поэтому под знаком логарифма остается модуль):
-7

2 способ (пример 1)

Неравенство можно решить с помощью метода рационализации (знакотождественной замены множителей)

-8

Выражения

-9

принимают одинаковые знаки с учетом ограничений на логарифм в силу монотонности логарифмической функции

Получаем:

-10

С учетом ограничений

-11

В качестве упражнения полезно решить аналогичное задание:

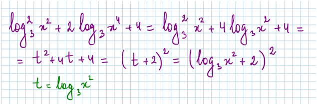
2. Решить неравенство (пример 2)

Источник: Ященко И.В., 36 вариантов, 2025, вариант 18
Источник: Ященко И.В., 36 вариантов, 2025, вариант 18

Ответ:

-13

_______________________________________________________________________________________

-14