Добавить в корзинуПозвонить
Найти в Дзене
Тесты_математика

Задача с собеседования в Гарвардском университете: вычислите (2/3)^2/3

Приветствую читателей и подписчиков канала Тесты_математика! Предлагаю к рассмотрению ещё одну интересную задачу на вычисление степеней разных чисел, а в данном случае, это дробь в дробной степени. Чему равно это выражение? Задача. Вычислите значение выражения: (2/3)^2/3 = ? Посмотрите на этом рисунке, какие преобразования нужно сделать, чтобы решить задачу. Полное решение задачи показано в видео ниже. Видео. Спасибо за прочтении условия и решения задачи и просмотр видео. Пишите вопросы в комментариях. #задачи на логику, #головоломки, #математика, #тест
Оглавление

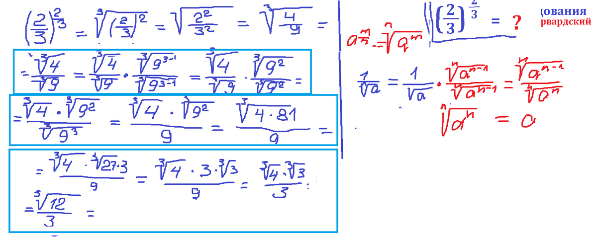
Приветствую читателей и подписчиков канала Тесты_математика!

Предлагаю к рассмотрению ещё одну интересную задачу на вычисление степеней разных чисел, а в данном случае, это дробь в дробной степени. Чему равно это выражение?

Задача.

Вычислите значение выражения:

(2/3)^2/3 = ?

задача гарвард 2 .3..2.3.png
задача гарвард 2 .3..2.3.png

Посмотрите на этом рисунке, какие преобразования нужно сделать, чтобы решить задачу. Полное решение задачи показано в видео ниже.

задача гарвард 2 .3..2.3реш.png
задача гарвард 2 .3..2.3реш.png

Видео.

Спасибо за прочтении условия и решения задачи и просмотр видео.

Пишите вопросы в комментариях.

Подпишитесь на канал, Тесты_математика!

чтобы не пропустить новые публикации!

-3

#задачи на логику, #головоломки, #математика, #тест