Добавить в корзинуПозвонить
Найти в Дзене

Объединение всех физических теорий

Понимаю, что математика, особенно дифференциальные уравнения в частных производных – штука сложная и не очень интересная. Но давайте проделаем пару операций. Около полугода назад я писал статью о том, как объединить сильное ядерное взаимодействие и электромагнетизм. Оказалось, что далеко ходить не надо. Всё получается (по формулам) чрезвычайно просто из самых простых наблюдений. Мы уже знаем, что напряжённость электрического поля равна конвективной производной от скорости эфира. И эта напряжённость от заряда распространяется с обратным квадратом расстояния. Тогда из школьного курса 11 класса мы можем получить выражение для скорости потока эфира: Говоря простым языком, у нас есть некоторый постоянный поток и возмущение, которое обратно пропорционально расстоянию от пробного заряда. Поскольку заряд взаимодействует только с электромагнитным полем, которое со всей очевидностью порождается другим зарядом, то разумно полагать, что это «а» - поток от соседнего заряда, а b/r – это поток от про

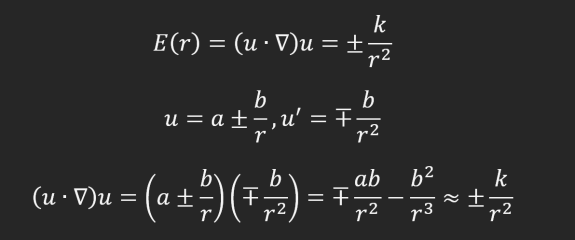
Понимаю, что математика, особенно дифференциальные уравнения в частных производных – штука сложная и не очень интересная. Но давайте проделаем пару операций. Около полугода назад я писал статью о том, как объединить сильное ядерное взаимодействие и электромагнетизм. Оказалось, что далеко ходить не надо. Всё получается (по формулам) чрезвычайно просто из самых простых наблюдений. Мы уже знаем, что напряжённость электрического поля равна конвективной производной от скорости эфира. И эта напряжённость от заряда распространяется с обратным квадратом расстояния. Тогда из школьного курса 11 класса мы можем получить выражение для скорости потока эфира:

Говоря простым языком, у нас есть некоторый постоянный поток и возмущение, которое обратно пропорционально расстоянию от пробного заряда. Поскольку заряд взаимодействует только с электромагнитным полем, которое со всей очевидностью порождается другим зарядом, то разумно полагать, что это «а» - поток от соседнего заряда, а b/r – это поток от пробного заряда, действие на который мы и хотим исследовать. Соберём все формулы в кучу и получим, что если откуда-то сбоку действует поток, который в окрестности заряда имеет скорость a, то с одной стороны от этого заряда скорость потока будет равна a-b/r, а с другой – a+b/r. Если мы возьмём конвективные производные от этих выражений, получим с одной стороны ab/r^2, т.е. обратный квадрат в сторону заряда, и -ab/r^2 с другой стороны, т.е. снова обратный квадрат в сторону заряда. Ровно то, что и предсказывает теория электромагнетизма.

-2

Если знак одного из зарядов обратный, то и результат будет обратным.

В этом расчёте я отбросил член -b^2/r^3, поскольку обратный куб убывает гораздо быстрее обратного квадрата. А потому на достаточно больших расстояниях не играет никакой роли. Обратим, однако, внимание, что вне зависимости от знака заряда, это выражение всегда будет отрицательным. Т.е. возникающая сила будет действовать в одну и ту же сторону вне зависимости от того, какой знак заряда имеет частица. А, как известно из опытов Шоппера по рассеиванию высокоэнергетических электронов на нейтроне, у нейтрона «керн» заряжен отрицательно, а «шуба» – положительно, что в сумме даёт ноль. Но у каждой части есть свой заряд, что и обеспечит притягивание ядерными силами.

Выходит, что предсказанная полгода назад формула полностью соответствует наблюдениям. Так ещё и сильное ядерное взаимодействие (за что можно было бы выдать Нобелевку), объединяет с электромагнетизмом. Полная аналогия с нобелевкой за объединение слабого ядерного взаимодействия и электромагнетизма.

Стоит заметить, что эти формулы верны только в том случае, если мы уже внесли пробный заряд в поле. Чего и следовало ожидать, ведь электромагнетизм вводили через действие на заряженное тело. Никакого обособленного электромагнитного поля, которое бы «висело в воздухе» никогда не измеряли. Тогда стоит задуматься о том, как устроено магнитное поле. Рассмотрим наше заряженное тело, как тороидальный вихрь эфира. От него будет расходиться возмущение по трём взаимно перпендикулярным компонентам. Одна из компонент этого возмущения направлена наружу (или к заряду, если отрицательный заряд). Вторая составляющая расходится в горизонтальной плоскости круговым образом.

Третья компонента, которая порождена тороидальным вращением эфира по телу заряда, расходится по всему объёму также круговым образом.

-3

При порождении магнитного поля в этом процессе участвуют именно заряды. Не будем сейчас вникать, как именно, но они так или иначе имеют в своём распоряжении только указанные компоненты. Как я писал ранее, электрическая компонента к магнитному полю имеет крайне опосредованное отношение, а потому рассмотрим только вторую и третью составляющие. Это потоки. И они естественным образом будут разворачивать любой тороидальный вихрь так, чтобы внешнее давление минимизировалось. Будет возникать момент сил, стремящийся выровнять ось тороидального вихря с направлением потока.

-4

Чем интенсивнее внешний поток, тем более строго по нему будет вставать тороидальных вихрь. При этом если у частицы есть заряд, значит, у неё есть и кольцевое вращение эфира. Следовательно, вокруг появится вращение эфира (ротор), которое по уравнениям Максвелла и является магнитным полем. При этом интенсивность этого вращения будет прямо пропорциональна внешнему потоку эфира. Другими словами, пока у нас заряда в магнитном поле нет, у нас нет и ротора. Но как только мы поместили пробное тело в область действия магнитно поля, мы получаем и вращение. Вновь в полном соответствии уравнениям Максвелла и моим выводом этих уравнений из механики эфира.

Ещё раз напомню, что атмосферные вихри поглощают тепло из атмосферы. Это зафиксированный факт, который нередко упоминают в рассказах о смерчах. Температура после смерчей всегда пониженная. Да и из самого смерча часто вылетают глыбы льда. Температурный градиент при прочих равных в газах (которым и является эфир) прямо пропорционален градиенту давлений. Все частицы микромира – это вихри эфира или их комбинации. Следовательно, вещество будет поглощать тепло эфира и создавать давление атмосферы к этому веществу. Мы уже исследовали это вопрос и получали ровно те формулы, что получал Ньютон, с небольшими замечаниями, которые скорее снимают вопросы к современной физике, чем порождают новые. Т.е. в этой модели микромира объединена ещё и гравитация.

-5

Что же касается слабого ядерного взаимодействия, то оно действует (по современным представлениям) на расстояниях много меньших размера протона. Да и в целом, если попробовать понять, что же под этим слабым взаимодействием имеют ввиду, то яснее точно не станет. Его обычно формулируют через хитровыдуманные калибровочные бозоны (вообще не важно, что это). Да и слабое взаимодействие с помощью математической эквилибристики объединили с электромагнитным, которое мы разобрали выше. Потому пока его рассматривать отдельно не будем.

А красное и синее смещения, квантовые эффекты, релятивизм и многое другое уже объяснено весьма логичным и лаконичным образом также через наглядные и понятные инженеру положения.

Из всего вышеописанного следует, что в эфиродинамике создана единая модель всех известных фундаментальных взаимодействий и физических наблюдений. Эта модель наглядна, понятна школьнику, математически целостна, непротиворечива. Её можно буквально нарисовать на бумажке, понять где и куда дуют потоки эфира, за счёт чего создаются силы. Уже это нас приводит к направленному поиску таких экспериментов, которые бы могли опровергнуть или уточнить модель. В частности, например, из неё следует, что если брать точечные заряды и располагать их не в одной плоскости, то интенсивность взаимодействия будет падать. Вероятно, в некоторых конфигурациях даже одноимённые заряды смогут притягиваться. И уже это перекликается с некоторыми работами по холодному ядерному синтезу. Т.е. есть реальный выход на технологии.

Я уже нисколько не сомневаюсь, что в не очень отдалённом будущем эфиродинамика станет ведущим научным направлением. А вы?