Добавить в корзинуПозвонить
Найти в Дзене
N + 1

Квантовая телепортация ужилась с обычным трафиком в оптоволокне

Физики из США осуществили квантовую телепортацию в оптическом волокне, которое одновременно использовалось для передачи классического телекоммуникационного трафика C-диапазона со скоростью 400 гигабит в секунду. Ученые передали квантовое состояние по оптоволокну длиной 30,2 километра, говорится в статье, опубликованной в журнале Optica. Квантовая телепортация — ключевая технология для развития квантовых сетей и квантового интернета, открывающая возможности для сверхзащищенной криптографии и распределенных вычислений. Ранее ученым уже удавалось передать квантовые данные по оптоволокну, однако интеграция квантовых сигналов в инфраструктуру классической связи считается крайне сложной задачей из-за помех, вызванных рассеянием света. В последнее время сразу несколько научных групп пытаются решить эту задачу, например недавно мы сообщали о достижениях российских ученых в этом направлении. Группа ученых под руководством Према Кумара (Prem Kumar) из Северо-Западного университета осуществила те
  N+1; Jordan M. Thomas et al. / Optica, 2024
N+1; Jordan M. Thomas et al. / Optica, 2024

Физики из США осуществили квантовую телепортацию в оптическом волокне, которое одновременно использовалось для передачи классического телекоммуникационного трафика C-диапазона со скоростью 400 гигабит в секунду. Ученые передали квантовое состояние по оптоволокну длиной 30,2 километра, говорится в статье, опубликованной в журнале Optica.

Квантовая телепортация — ключевая технология для развития квантовых сетей и квантового интернета, открывающая возможности для сверхзащищенной криптографии и распределенных вычислений. Ранее ученым уже удавалось передать квантовые данные по оптоволокну, однако интеграция квантовых сигналов в инфраструктуру классической связи считается крайне сложной задачей из-за помех, вызванных рассеянием света. В последнее время сразу несколько научных групп пытаются решить эту задачу, например недавно мы сообщали о достижениях российских ученых в этом направлении.

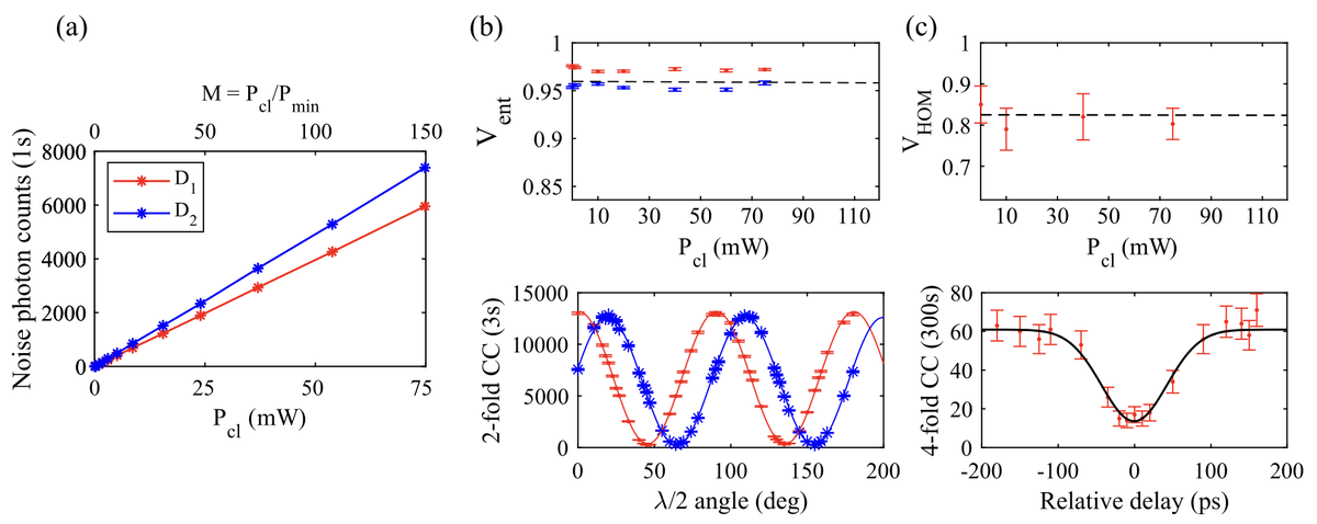
Группа ученых под руководством Према Кумара (Prem Kumar) из Северо-Западного университета осуществила телепортацию квантового состояния по оптоволокну, в котором одновременно передавался классический трафик. В эксперименте ученые использовали 30,2 километра волокна и оборудование для передачи трафика в C-диапазоне с мощностью 18,7 децибел на милливатт, при этом квантовые сигналы передавались в O-диапазоне для минимизации рассеяния. В средней точке волокна ученые разместили оборудование для измерения состояния Белла. Чтобы защитить квантовую точность от шума спонтанного рассеяния, физики использовали технику мультиплексирования, фильтрацию спектра и детекторы совпадений.

  Jordan M. Thomas et al. / Optica, 2024
Jordan M. Thomas et al. / Optica, 2024

В результате исследователям удалось сохранить высокую точность телепортации даже при одновременной передаче классического трафика, что, по мнению физиков, подтверждает возможность совмещения квантовых и классических сетей и открывает путь к построению квантового интернета на основе существующей телекоммуникационной инфраструктуры. Однако, как отмечают исследователи, в будущем предстоит решить задачи масштабирования технологии.

Более подробно о квантовой запутанности и квантовой телепортации читайте в нашем материале «Бог играет в эти игры».

Наука
7 млн интересуются