Найти в Дзене
ThisMath

Решение кубических уравнений #2

В посте про решение уравнений 3-й степени мы полностью вывели формулу нахождения корней. Как известно, в уравнениях любой степени количество корней равно максимальной степени уравнения. В квадратном уравнении степень многочлена равна 2, следовательно, у уравнения до двух корней; в кубическом уравнении — 3 корня. Но как их найти? В том же посте про кубические уравнения мы ввели две новые переменные: α, β. В прошлый раз для того, чтобы найти, чему равны α и β, мы брали арифметический корень. Также мы знаем из прошлого поста, что все алгебраические корни равномерно расположены на окружности, и, зная хотя бы один из корней и степень корня, мы можем найти все остальные корни. Пусть d₁ — это первый корень, а k — показатель степени корня, тогда: Таким образом, для переменных α и β получаем: Мы нашли алгебраические корни α³ и β³. На данном этапе мы успешно определили все алгебраические корни α и β кубического уравнения, используя равномерное распределение корней на окружности. В след. посте

В посте про решение уравнений 3-й степени мы полностью вывели формулу нахождения корней. Как известно, в уравнениях любой степени количество корней равно максимальной степени уравнения. В квадратном уравнении степень многочлена равна 2, следовательно, у уравнения до двух корней; в кубическом уравнении — 3 корня. Но как их найти?

В том же посте про кубические уравнения мы ввели две новые переменные: α, β.

В прошлый раз для того, чтобы найти, чему равны α и β, мы брали арифметический корень.

-2

Также мы знаем из прошлого поста, что все алгебраические корни равномерно расположены на окружности, и, зная хотя бы один из корней и степень корня, мы можем найти все остальные корни. Пусть d₁ — это первый корень, а k — показатель степени корня, тогда:

-3

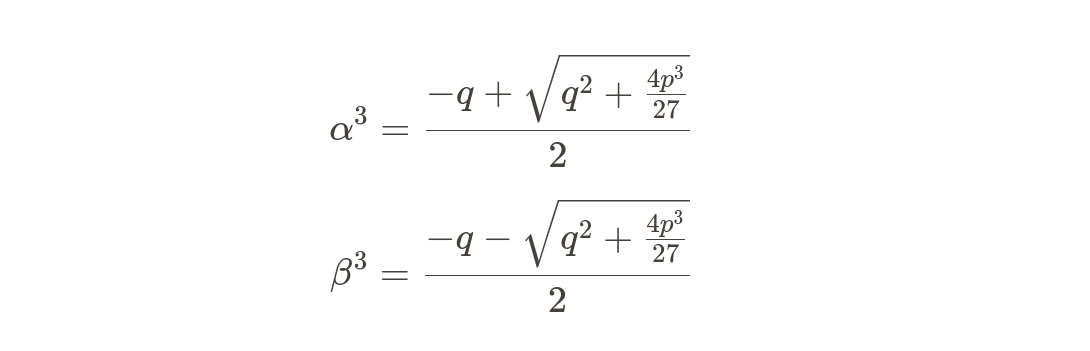
Таким образом, для переменных α и β получаем:

-4

Мы нашли алгебраические корни α³ и β³.

На данном этапе мы успешно определили все алгебраические корни α и β кубического уравнения, используя равномерное распределение корней на окружности.

В след. посте закончим поиск корней кубического уравнения