Найти в Дзене
Злобный биохимик

Хвост для диабетика

Всем привет! Очередной фрагмент нашей с товарищем диабетической саги. Про хвосты. Крылья, ноги... Главное - хвост! (c) Не то, чтобы главное, но тоже важное. Что такое "хвост" в контексте диабета? Так говорят, когда глюкоза в крови вдруг подрастает не после еды, а спустя пару-тройку часов (а то и позже). В общем, внезапно, внепланово, в неожиданное время. Когда человек этого уже не ждёт, т.к. съеденные углеводы "накрыты" инъекцией инсулина. Понятно, что сразу после еды идёт закономерный рост концентрации глюкозы в крови. Углеводы же начали расщепляться и всасываться, вот и повысилась цифра. Инсулин развернулся - и убрал её. Всё супер, да? И вот представьте себе: глюкометр или НМГ показывают, что всё ок, углеводы и инсулин посчитаны верно, "сахара" вроде возвращаются в обычные границы. А потом, нежданно-негаданно (для некоторых!) оп-па, и снова всплеск сахара откуда-то. Это и есть пресловутый "хвост". Только съеденные углеводы здесь уже ни при чём. Оказывается, белки тоже повышают сахар.

Всем привет! Очередной фрагмент нашей с товарищем диабетической саги. Про хвосты.

Крылья, ноги... Главное - хвост! (c)

Не то, чтобы главное, но тоже важное. Что такое "хвост" в контексте диабета? Так говорят, когда глюкоза в крови вдруг подрастает не после еды, а спустя пару-тройку часов (а то и позже). В общем, внезапно, внепланово, в неожиданное время. Когда человек этого уже не ждёт, т.к. съеденные углеводы "накрыты" инъекцией инсулина. Понятно, что сразу после еды идёт закономерный рост концентрации глюкозы в крови. Углеводы же начали расщепляться и всасываться, вот и повысилась цифра. Инсулин развернулся - и убрал её. Всё супер, да? И вот представьте себе: глюкометр или НМГ показывают, что всё ок, углеводы и инсулин посчитаны верно, "сахара" вроде возвращаются в обычные границы. А потом, нежданно-негаданно (для некоторых!) оп-па, и снова всплеск сахара откуда-то.

Это и есть пресловутый "хвост". Только съеденные углеводы здесь уже ни при чём. Оказывается, белки тоже повышают сахар. Коллега помнит, как ещё в 90-е годы в некоторых школах диабета говорили примерно так: "считаем только углеводы, остальное без разницы". А вот и нет, очень даже с разницей оказалось... Белки повышают сахар. Хотя, казалось бы, - ну, чем?! Глюкозы-то в них, в отличие от углеводов (которые многие - глюкозосодержащие полимеры) нет!

Схематическое изображение диабетика и его хвоста.

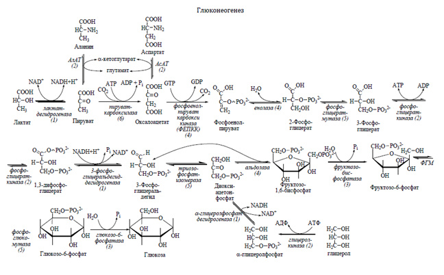
Короче, загадка: почему в белках глюкозы нет, а сахар они поднимают? Правильный ответ: глюконеогенез. Снова никакой мистики и магии. Просто организм умеет преобразовывать некоторые аминокислоты в глюкозу. Хитро придумано? А то! Но это ему нужно, особенно - тем, у кого в рационе сплошные белки и дефицит углеводов. Народы Крайнего Севера, у которых рацион питания состоит из белково-жировых даров моря чуть более, чем полностью, не дадут соврать! Это нам с вами хорошо, у нас каши, пюре и макароны разные на полях растут. А у них - полей нет. А глюкоза в организме (которая, напоминаю, нужна каждой клетке, нужна всегда, каждую секунду жизни, и потребность в ней возникает с первой клетки, задолго до рождения) - есть. Так что, в этом во всём есть глубокий смысл и потребность. У всех, кроме диабетиков!

Нет, на самом деле, диабетикам конечно тоже эти механизмы нужны. Но подсчитать, сколько потребуется инсулина на белки, которые таким вот способом дадут глюкозы, сложно. Это с самими углеводами выходит легко, настолько, что мы давно решили округлять их количество с точностью до 10-15 граммов. Ага, та самая "Хлебная Единица", которая, смешно сказать, в разных странах считается по-разному. На уровне директив, а не биохимии. К примеру, в России это - 12 граммов углеводов, а в США - 15 граммов. Можно подумать, углеводы, перелетая Берингов пролив, как-то в чём-то меняются... До кучи, там есть ещё плавающие переменные вида "сколько инсулина надо на 1 ХЕ" и "на сколько ммоль/л повысит сахар 1 ХЕ". Причём цифры разнятся не только от человека к человеку но и в рамках одного и того же организма: от времени суток может запросто зависеть. Но это всё рассчитывается, учитывается и запоминается. Итоговый набор правил выглядит, например, так: "Утром у меня на 1 ХЕ, за которую я взял 12 граммов углеводов, нужно 2 единицы инсулина, а вечером - 1,5 единицы, но вечером пятницы - 3 единицы" и так далее. Немножко заморочено, но терпимо. А вот с белками расчёты гораздо, гораздо тяжелее! С ними всех условностей больше на порядок. Мы редко когда сможем наверняка вычислить процент их вовлечённости в глюконеогенез, это вообще от кучи факторов зависит. Но если отмахнуться от белков и пытаться по-старому рассчитывать только углеводы, то вылезет "хвост".

-2

Не, там всё, в целом, простенько... Один из путей вот такой вот. Легко же? Вот и я думаю, что несложно. Сорри, не удержалась.

Вот и появляются ухищрения типа "Если белков в обеде 40 граммов и больше - прибавляем дозу инсулина на 30%" (это НЕ универсальный рецепт! Каждый диабетик 1 типа должен выработать свой, а со 2 типом - ещё сложнее. Но надо найти вариант). А если подходить к вопросу серьёзнее - нужны весы, нужно высчитывать, помимо ХЕ, ещё белково-жировые единицы... Нет, мой товарищ-соавтор-диабетик так не делает. Говорит, "это ж вообще с ума можно сойти, если всё начать считать! Времени ни на что не останется". Да, однозначно между "знаю, как надо" и "делаю, как надо" есть разница... К счастью, с современными системами непрерывного мониторинга глюкозы это более-менее несложно поддаётся коррекции.

Главное - надо помнить, что белки ТОЖЕ поднимают содержание глюкозы в крови. И постараться (пишу, пока соавтор не видит) не быть ленивой задницей и это всё-таки учитывать. Ну а способы подсчёта у всех свои, конечно. Уж извините, что я тут без универсальных цифр.

Хотите поблагодарить авторов финансово? Это легко: CloudTips (любая сумма, любая карта).