Найти в Дзене

Пример последнего задания ЕГЭ по математике профильного уровня

Пусть n и m — натуральные числа. Рассмотрим дробь, в числителе которой находится выражение nm+1, а в знаменателе сумма n+m: Известно, что эта дробь равна целому числу. а) Может ли n быть равным 2, при условии m>2? б) Может ли m быть больше, чем n² ? в) Какое наибольшее значение может принимать m, если n=7 ? Рекомендую читателям попробовать решить данное задание самостоятельно перед тем, как смотреть решение ;) Предположим, что n=2. Имеем: Число 2m является четным, так как точно делится на 2, значит, 2m+1 есть число нечетное. Так как в числителе стоит нечетное число, а дробь сократима до целого числа k, то числитель полностью делится на знаменатель, и в знаменателе тоже должно быть нечетное число. Действительно, если бы в знаменателе было бы четное число s, то числитель равнялся бы произведению k и s, которое должно быть четным. Итак, 2+m нечетно. Значит, нечетно и m. То есть существует натуральное число a, такое, что m=2a+1. Получаем: Так как a и k — натуральное числа, то числитель дро
Оглавление

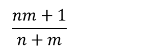
Задание

Пусть n и m — натуральные числа. Рассмотрим дробь, в числителе которой находится выражение nm+1, а в знаменателе сумма n+m:

-2

Известно, что эта дробь равна целому числу.

а) Может ли n быть равным 2, при условии m>2?

б) Может ли m быть больше, чем n² ?

в) Какое наибольшее значение может принимать m, если n=7 ?

Рекомендую читателям попробовать решить данное задание самостоятельно перед тем, как смотреть решение ;)

Решение

Пункт а)

Предположим, что n=2. Имеем:

-3

Число 2m является четным, так как точно делится на 2, значит, 2m+1 есть число нечетное. Так как в числителе стоит нечетное число, а дробь сократима до целого числа k, то числитель полностью делится на знаменатель, и в знаменателе тоже должно быть нечетное число. Действительно, если бы в знаменателе было бы четное число s, то числитель равнялся бы произведению k и s, которое должно быть четным.

Итак, 2+m нечетно. Значит, нечетно и m. То есть существует натуральное число a, такое, что m=2a+1. Получаем:

-4

Так как a и k — натуральное числа, то числитель дроби должен быть положительным. Следовательно, знаменатель также должен быть больше нуля. Единственное натуральное число k, при котором выражение 2-k является положительным, это 1. Но при k=1 приходим к тому, что a=0 и m=1<2. Противоречие.

Получается, что не существует такого целого m>2, что дробь

-5

равна целому числу.

Пункт б)

Имеем:

-6

Выразим из этого равенства m:

-7

Вспомним, что n, m и k — числа не меньше 1. Значит, дробь, стоящая справа и равная m, тоже больше 1. Ее числитель, очевидно, неотрицателен. Значит, знаменатель должен быть строго больше 0, а, учитывая тот факт, что n и k целые, получаем, что n-k≥1. Отсюда следует, что kn-1<n. Но тогда nk-1<n²-1, а также, что

-8

Пункт в)

Пользуясь результатами пункта б), можем заключить, что

-9

Заметим, что наибольшее возможное k равно 6 (при бОльших значениях k в знаменателе будут неположительные числа). При k=6 получим m=41. При этом, если уменьшать k, то числитель будет уменьшаться, а знаменатель увеличиваться. Тем самым, 41 — наибольшее возможное значение m.

Ответ:

а) нет

б) нет

в) 41