Найти в Дзене
Простаяматематика.рф

ЕГЭ-2025. Разбор 13, 15, 16 заданий из статграда

Здравствуйте дорогие подписчики и гости канала Предлагаю разбор 13, 15, 16 заданий Статграда от 18 марта, сам вариант можно посмотреть тут Не знаю будет ли такое, но синус суммы вроде и не сложно даже) пункт б) Легкое 15. Делала с одз Кредиты по схеме дифференцированных платежей но с разной процентной ставкой На этой неделе также планирую разбор 14, 17, 18, 19 заданий. Буду рада вашим лайкам, комментариям и вашей подписке Также приглашаю в группу Телеграм и Вконтакте Спасибо за внимание, до новых встреч

Здравствуйте дорогие подписчики и гости канала

Предлагаю разбор 13, 15, 16 заданий Статграда от 18 марта,

сам вариант можно посмотреть тут

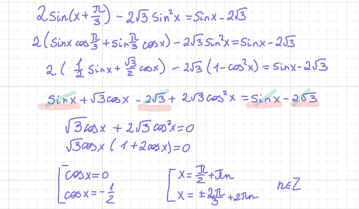
Не знаю будет ли такое, но синус суммы вроде и не сложно даже)

-2

пункт б)

-3

Легкое 15. Делала с одз

-4
-5
-6
-7
-8
-9

-10

Кредиты по схеме дифференцированных платежей но с разной процентной ставкой

-11
-12
-13
-14

На этой неделе также планирую разбор 14, 17, 18, 19 заданий.

Буду рада вашим лайкам, комментариям и вашей подписке

Также приглашаю в группу Телеграм и Вконтакте

Спасибо за внимание, до новых встреч