Найти в Дзене

Готовимся к ЕГЭ, Математика:Проф, задачи с параметром (ФИПИ). Пример №3.

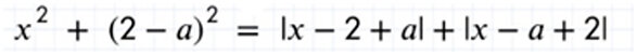
"Многие вещи нам непонятны не потому, что наши понятия слабы; но потому, что сии вещи не входят в круг наших понятий" (Козьма Прутков). Не пора ли нам замахнуться на задачу какую-нибудь... с параметром. Насколько можно понимать учёного, считающегося в обществе создателем системы ЕГЭ в нашей стране, этот тип задач предназначен явно не для всех (по ссылке можно посмотреть кусочек его интервью на ТВ). Это некое хобби, увлечение познанием. Суть в том, что как раз нужно расширять свои понятия, изучать новое и развиваться. Посмотрим, как понимание особенностей чётной функции даёт возможность быстро и просто решить одну из таких задач, взятую из ОБЗ ФИПИ. Найти все значения параметра a, при каждом из которых уравнение имеет единственный корень: На широко известных ресурсах интернета решение этой задачи приведено. Но ученики, с которыми я занимаюсь, говорят, что решение это кажется сложным, и спрашивают, нельзя ли решить задачу проще. Замечу, что да, можно. Применим метод замены переменной:
Оглавление

"Многие вещи нам непонятны не потому, что наши понятия слабы; но потому, что сии вещи не входят в круг наших понятий" (Козьма Прутков).

Не пора ли нам замахнуться на задачу какую-нибудь... с параметром. Насколько можно понимать учёного, считающегося в обществе создателем системы ЕГЭ в нашей стране, этот тип задач предназначен явно не для всех (по ссылке можно посмотреть кусочек его интервью на ТВ). Это некое хобби, увлечение познанием. Суть в том, что как раз нужно расширять свои понятия, изучать новое и развиваться. Посмотрим, как понимание особенностей чётной функции даёт возможность быстро и просто решить одну из таких задач, взятую из ОБЗ ФИПИ.

Найти все значения параметра a, при каждом из которых уравнение имеет единственный корень:

-2

На широко известных ресурсах интернета решение этой задачи приведено. Но ученики, с которыми я занимаюсь, говорят, что решение это кажется сложным, и спрашивают, нельзя ли решить задачу проще.

Замечу, что да, можно. Применим метод замены переменной:

t = a - 2

и перенесём все члены в левую часть:

-3

Заметим, что выражение в левой части представляет собой чётную функцию f(x). Чётная функция, по определению: f(x) = f(-x). Со 2-ой степенью всё понятно. Проверим первое выражение со знаком модуля:

|-x+t| = |t-x| = |x-t|.

Второе выражение со знаком модуля:

|-x-t|=|-(x+t)|=|x+t|.

Т.е. при смене знака перед x => два члена со знаком модуля как бы просто меняются местами в строке, а всё выражение остаётся неизменным (переместительный закон сложения).

Исходя из свойств чётной функции, при условии, что известно о существовании только одного единственного корня, функция в левой части f(x) = 0 только для x = 0. Подставляем x = 0 =>

-4

Или

-5

Легко найти три значения t, удовлетворяющих последнему уравнению:

-2; 0; 2.

Переходим обратно к переменной a:

a - 2 = 0 => a = 2; a - 2 = 2 => a = 4; a - 2 = -2 => a = 0.

Но задача ещё не решена. В соответствии с условием, мы должны отобрать только те значения a, при которых заданное уравнение имеет только одно единственное решение.

Подставляем в заданное уравнение a = 2:

Уравнение "схлопывается" до:

-6

Легко видеть, что это уравнение имеет более одного решения (всего их получится три), поэтому a = 2 в ответ включать нельзя.

Подставляем в заданное уравнение a = 4:

Уравнение принимает вид:

-7

Открывая модуль, выясняем, что при -2≤ x ≤2, уравнение имеет только одно решение, x=0; при x < -2 и при 2 < x решения уравнения не попадают в соответствующие промежутки. Значит,

a = 4 соответствует условию задачи. Аналогично, и a = 0 также является ответом.

Таким образом, ответ: a = 0; a = 4.

Итак, решение получилось верным, обоснованным и простым. На ЕГЭ предлагаются и другие похожие задачи, для которых приведённые выше рассуждения будут весьма полезны.

Если вам понравилась статья, поставьте лайк и подпишитесь на канал, это поможет другим пользователям получить полезную информацию, спасибо!