Добавить в корзинуПозвонить
Найти в Дзене
Математика не для всех

"Против лома нет приема". Красивый метод решения просто "гробовой" системы уравнений

Приветствую Вас, уважаемые Читатели! Сегодня я хочу решить с Вами очень интересную систему уравнений с параметрами. Что самое замечательное - решить её очень нетривиальным методом. Итак, требуется найти значение параметра a, при котором система уравнений имеет единственное решение: Первый подход к решению этой системы требует просто пристального взгляда. Обратите внимание. что если заменить x на y, система абсолютно не изменится! Косинус - четная функция, остальное еще более тривиально Этот факт позволяет нам сделать вывод о том, что : Из этого следует: В первом уравнении очень кстати пропадает третья переменная, а значит всё сводится к решению уравнения: Условие в виде неравенства взято из третьего уравнения, ведь под знаком логарифма не должно быть отрицательных чисел. Теперь, подставляя переменные в исходную систему, получим следующее: "Против лома нет приёма!" - мы пользуемся всё тем же предположением с учетом четности всех вхождений переменной z в уравнения. Казалось бы, вот он и

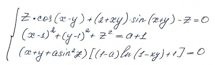
Приветствую Вас, уважаемые Читатели! Сегодня я хочу решить с Вами очень интересную систему уравнений с параметрами. Что самое замечательное - решить её очень нетривиальным методом. Итак, требуется найти значение параметра a, при котором система уравнений имеет единственное решение:

Первый подход к решению этой системы требует просто пристального взгляда. Обратите внимание. что если заменить x на y, система абсолютно не изменится!

Косинус - четная функция, остальное еще более тривиально

Этот факт позволяет нам сделать вывод о том, что :

-2

Из этого следует:

-3

В первом уравнении очень кстати пропадает третья переменная, а значит всё сводится к решению уравнения:

-4

Условие в виде неравенства взято из третьего уравнения, ведь под знаком логарифма не должно быть отрицательных чисел. Теперь, подставляя переменные в исходную систему, получим следующее:

-5

"Против лома нет приёма!" - мы пользуемся всё тем же предположением с учетом четности всех вхождений переменной z в уравнения.

Источник: https://s.gorodvo.ru/localStorage/news/55/03/16/d3/550316d3_resizedScaled_1020to675.jpg
Источник: https://s.gorodvo.ru/localStorage/news/55/03/16/d3/550316d3_resizedScaled_1020to675.jpg
Казалось бы, вот он и ответ...

Однако, при a=1 мы всего лишь показали, что есть решение (0,0,0), но не показали, что оно единственное! Поэтому надо подставить значение параметра в исходную систему и удостовериться в этом:

-7

Рассмотрим подробнее третье и второе уравнение, и опять, хоть и с модификациями, применим всё тот же способ!

-8

Таким образом, мы убедились в том, что при значении а = 1 у системы новых решений не появляется. Значит, ответ!

  • Спасибо за внимание! Надеюсь, материал Вам понравился, и Вы поддержите его лайком и подпиской!
  • TELEGRAM и Вконтакте- там я публикую не только интересные статьи, но и математический юмор и многое другое.