Добавить в корзинуПозвонить
Найти в Дзене
Блокнот математика

Подсчет вероятности "хотя бы одного раза"

Очень часто надо вычислить или оценить вероятность наступления хотя бы одного события из серии. Часто — в предположении независимости событий. Как вариант — ровно двух, от трех до семи, не менее, чем сорок два или строго меньше пятнадцати. Задачи несложны, но вот подсчет часто бывает трудоемок, и поэтому используются некоторые приближения. Которые и сами по себе интересны. Обсудим. Итак, простейший вариант: вероятность хотя бы одного события в серии из n независимых событий с одной и той же вероятностью р. Формально решение очень просто: 1-(1-p)ⁿ. Ведь вероятность наступления двух независимых событий равна произведению вероятностей, а 1-р есть вероятность, что событие не произошло. (1-p)ⁿ есть вероятность, что событие n раз не случилось. Вычитая ее из единицы, получаем вероятность отрицания события "желаемое событие n раз не случилось", то есть "желаемое событие случилось хотя бы один раз". Что нам и надо. Но считать может быть сложно. Если p=1/e и n=42, то удовольствие ниже среднего,

Очень часто надо вычислить или оценить вероятность наступления хотя бы одного события из серии. Часто — в предположении независимости событий. Как вариант — ровно двух, от трех до семи, не менее, чем сорок два или строго меньше пятнадцати. Задачи несложны, но вот подсчет часто бывает трудоемок, и поэтому используются некоторые приближения. Которые и сами по себе интересны. Обсудим.

Итак, простейший вариант: вероятность хотя бы одного события в серии из n независимых событий с одной и той же вероятностью р. Формально решение очень просто: 1-(1-p)ⁿ. Ведь вероятность наступления двух независимых событий равна произведению вероятностей, а 1-р есть вероятность, что событие не произошло. (1-p)ⁿ есть вероятность, что событие n раз не случилось. Вычитая ее из единицы, получаем вероятность отрицания события "желаемое событие n раз не случилось", то есть "желаемое событие случилось хотя бы один раз". Что нам и надо.

Но считать может быть сложно. Если p=1/e и n=42, то удовольствие ниже среднего, если делать это в уме.

Авторство: Эжен де Блаас. Art Renewal Center, Общественное достояние, https://commons.wikimedia.org/w/index.php?curid=4789594
Авторство: Эжен де Блаас. Art Renewal Center, Общественное достояние, https://commons.wikimedia.org/w/index.php?curid=4789594

Если произведение np маленькое, то можно разложить бином Ньютона по степеням, пренебрегая всеми, кроме первой: (1-p)ⁿ ≈ 1-np. Тогда желаемая вероятность приближенно равна np.

Какой смысл у величины np? Это среднее случайной величины, равной числу событий, произошедших в n попытках. Малость этого среднего означает, что событие редкое и в пакетах по n попыток встречается далеко не в каждом, ну а вероятность его застать и есть np.

Еще лучше такая трактовка: np есть сумма n слагаемых, равных p. Сумма же вероятностей двух событий равна вероятности, что одно из этих событий произойдёт, но только если эти события не могут произойти вместе. Пренебрегая степенями, мы и пренебрегли совместными событиями, то есть шансами наблюдать два, три и более событий в серии.

Пример. Какова вероятность, что твой день рождения совпадает с днем рождения хотя бы одного из пяти друзей? Пренебрегая високосными годами, получаем вероятность ¹/₃₆₅, и приближенный ответ есть

⁵/₃₆₅ = ¹/₇₃ ≈ 0.013699,

а точный 0.013624.

Приближение хорошее, простое, но пригодно редко: только если вероятность застать даже два события в серии из n реально пренебрежимо мала.

Только помните, что такое простое сложение вероятностей работает только для малых np! Даже не самих вероятностей р, а именно комбинации. Если вероятность мала, но число попыток велико, всё иначе.

И это очень сильно похоже на теорию относительности, в которой малые скорости можно складывать как в школе учили, но большие складываются иначе.

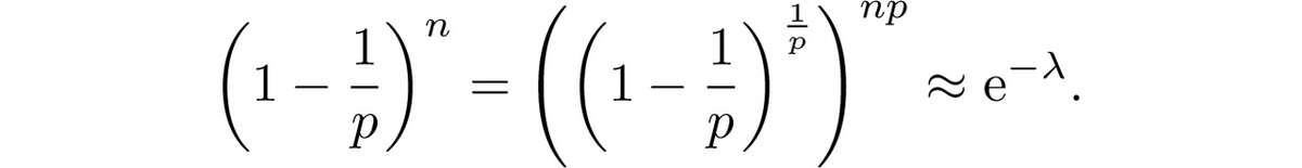
Теперь пусть np=1. И пусть n достаточно велико. Может показаться, что это очень частный случай, но он имеет потенциал к расширению.

Но этот случай и сам по себе интересен, так как охватывает случаи "что будет, если опыт с веростностью успеха один к миллиону повторить миллион раз?"

Можно применить замечательный предел! И получится приближение
(1-
p)ⁿ ≈ 1/e ≈ 0.368. Это уже интересно: если вероятность события одна сотая и мы сделаем сто попыток, то не увидим ни одного события с вероятностью примерно 0.368 (точнее, 0.366). А хотя бы одно увидим с вероятностью 0.634.

С какого n эта оценка точна? Ну, для n=2 получаем 0.25; для n=3 получаем 0.296; для n=4 получаем 0.316; для n=5 получаем 0.328; для n=10 получаем 0.349.

Пример. Какова вероятность, что твой день рождения совпадает хотя бы с одним из 365 знакомых? Здесь np=1 и n велико, так что 0.634. Точное значение 0.633 (округлено).

Если же np=λ не равно 1, но не слишком малое и не слишком большое, то можно модифицировать замечательный предел:

-2

При малом λ мы приходим к предыдущему приближению, так как
exp(λ) ≈ 1+λ при малом λ.

Но n должно быть достаточно большим, оценки см. выше.

Пример. Какова вероятность, что твой день рождения совпадает хотя бы с одним из тысячи коллег? Приближенный ответ

1 - exp(-¹⁰⁰⁰/₃₆₅) ≈ 0.935.

То есть, очень вероятно, что совпадение будет. Из тысячи коллективов по тысяче сотрудников в большинстве у наугад выбранного сотрудника будет с кем разделить расходы.

Если же np большое, то надо смотреть, за счёт чего. Если большое n, а p маленькая, то экспонента хорошее приближение, и можно прикинуть малость вероятности не застать ни одного события. Держите в уме, что exp(3) ≈ 20.

Например, если n=1000, а p одна сотая, то вероятность, что ни разу события не будет, приблизительно равна exp(-10)≈0.000045.

То есть, угадать число от 1 до 100 хотя бы раз с тысячи попыток можно почти достоверно. А среднее число угадываний будет равно 10.

Если же сама вероятность р большая, то экспонента тоже может работать (если велико n), но можно просто посмотреть на степень малости степени qⁿ при малом q=1-p. Например, если p=0.9, то вероятность не увидеть ни одного события из пяти попыток равна (0.1)⁵ и ничего не надо придумывать.

А в следующий раз мы обсудим приближения для более общей задачи: ровно два совпадения, не менее восьми, не более пяти, от пятисот до семисот, и и всё в таком роде.

Научно-популярные каналы на Дзене: путеводитель
Новости популярной науки12 марта 2022