Добавить в корзинуПозвонить
Найти в Дзене
Блокнот математика

Быстрота и ракетная формула

Мы уже много раз, друзья, обсуждали понятие скорости в теории относительности. Различные системы отсчета, движущиеся относительно друг друга, имеют наклоненные относительно друг друга оси времени, и поворот гиперболический. "Угол" этого поворота, который может быть любым, от минус бесконечности до бесконечности, не имеет прямого физического смысла, а его гиперболический тангенс и есть скорость. Скорость в долях скорости света, которая есть просто характеристика пространства-времени, или обменный коэффициент метров и секунд. Угол поворота иногда именуют "быстротой". Быстроты складываются алгебраически, а (гиперболический) тангенс такой суммы преобразуется (почти) так, как учили в школе. Это и есть релятивистская сумма скоростей. То есть, разница между "классической" формулой и "релятивистской" точно такая же, как между оценкой расстояний между городами по классической формуле Пифагора или методами сферической тригонометрии. Для малых расстояний разница неочевидна, но для больших класси

Мы уже много раз, друзья, обсуждали понятие скорости в теории относительности. Различные системы отсчета, движущиеся относительно друг друга, имеют наклоненные относительно друг друга оси времени, и поворот гиперболический. "Угол" этого поворота, который может быть любым, от минус бесконечности до бесконечности, не имеет прямого физического смысла, а его гиперболический тангенс и есть скорость. Скорость в долях скорости света, которая есть просто характеристика пространства-времени, или обменный коэффициент метров и секунд. Угол поворота иногда именуют "быстротой".

Быстроты складываются алгебраически, а (гиперболический) тангенс такой суммы преобразуется (почти) так, как учили в школе. Это и есть релятивистская сумма скоростей.

Время вверх, пространство горизонтально. Синяя гипербола описывает повороты так. как окружность описывает повороты обычные. Площадь серых областей и есть "угол" поворота вправо от оси времени, так же, как для обычных поворотов это площадь сектора круга (она пропорциональная длине дуги, которую часто используют вместо). Рыжая линия - асимптота гиперболы, она же световой конус.
Время вверх, пространство горизонтально. Синяя гипербола описывает повороты так. как окружность описывает повороты обычные. Площадь серых областей и есть "угол" поворота вправо от оси времени, так же, как для обычных поворотов это площадь сектора круга (она пропорциональная длине дуги, которую часто используют вместо). Рыжая линия - асимптота гиперболы, она же световой конус.

То есть, разница между "классической" формулой и "релятивистской" точно такая же, как между оценкой расстояний между городами по классической формуле Пифагора или методами сферической тригонометрии. Для малых расстояний разница неочевидна, но для больших классическая формула вообще не работает.

Но рассмотрим равноускоренное движение. Пусть одна система ускоряется так, что собственное ускорение постоянно и равно a. Его может измерять акселерометр в космическом корабле: гирька на пружинке. В классике, если скорость была нуль изначально, то через время t скорость будет at.

Размерность ускорения при с=1 будет 1/сек.

Собственное ускорение a, так что за малое время dt прирост скорости (относительно сопутствующей системы отсчета, которая имеет изначально ту же скорость v, относительно неподвижной системы, но не ускоряется) составит adt, и эту скорость надо прибавить к той v, что уже есть (относительно неподвижной системы отсчета), по формуле сложения скоростей:

(v+adt) / (1+vadt).

Теперь вычтем отсюда скорость, чтобы определить эффективное ускорение в неподвижной системе отсчета:

(v+adt-v-v²adt) / (1+vadt) = (1-v²) / (1+vadt)adt.

Устремив dt к нулю, придем к формуле

dv = (1-v²)adt

Учитывая, что v=tgh(s), приходим к

ds/cosh²(s) = (1 - tgh²(s))adt.

Используя известные формулы, аналогичные тригонометрическим (1/cosh²s=1-tgh²s, (tghs)'=1/cosh²s) получаем

ds=adt, или s=at.

Это интересно. То есть быстрота ведет себя так, как скорость в классике. В общем-то это и понятно, так как v=tgh(s)~s при малых s, то есть при малых скоростях.

Итак, при равноускоренном движении у нас есть простая формула для переменной скорости:

v = tgh(at).

Что мы можем отсюда извлечь? Давайте еще раз вычислим дифференциал:

dv = (tgh(at))'dt = adt/cosh²(at)

по правилам дифференцирования. Отсюда

dt = cosh²(at)dv/a.

Рассмотрим ракету переменной массы m, которая испускает массу со скоростью w, и ускоряется сама за счет сохранения импульса. При этом ускорение считаем постоянным. Тогда

-wdm = madt,

так как полный импульс сохраняется. Отсюда

-wdm/m = adt.

Подставляя сюда найденное выше dt, приходим к

-wdm/m = cosh²(at)dv

или

-wdm/m = dv/(1-v²).

Интегрируя это выражение, получим слева логарифм, а справа надо разложить дробь на сумму двух; получится

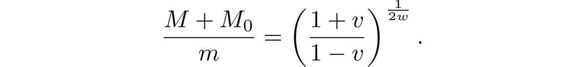
-wln(m) = ½ln[(1+v)/(1-v)] + const.

Константа получается из условия: при нулевой скорости масса ракеты равна массе корабля M=1 плюс масса топлива M₀: const=-wln(1+M₀). В итоге

-2

Подставив m=M=1, мы найдем скорость ракеты после сжигания всего топлива или, напротив, по желаемой скорости найдем необходимый запас топлива. В частности, чтобы набрать скорость 90% от скорости света, располагая возможностью излучать энергию со скоростью вполовину от скорости света, нам нужно: 1+M₀=19. То есть на килограмм груза нужно 19 кг топлива. Вроде приемлемо?

Но если мы хотим разогнаться до 99% скорости света, располагая скоростью реактивной струи в ⅛ скорости света, то в показателе у нас 4, а возводимое в степень выражение равно 199, то есть получится около 1.5 миллиардов тонн на тонну груза.

Обратите внимание на важный нюанс: в итоговой формуле ускорения уже нет. То есть она верна дл любого ускорения. Более того, поскольку она дифференциальна, то есть рассмотрена на отдельных этапах выброса массы малыми порциями по dm, ускорение может быть непостоянным: его постоянство требовалась только в пределах этапа.

То есть формула общая, а не для случая равноускоренного движения. Красиво.

По оси абсцисс желаемая скорость в долях с.  По оси ординат масса топлива относительно полезной массы. Линии соответствуют скорости струи: черная 1с, синяя 75%с, зеленая 50%с, красная 25%с. Может показаться, что есть какой-то предел скорости (меньший с, вертикальная асимптота), но нет: достижима любая скорость меньше с=1, вот только цена высока.
По оси абсцисс желаемая скорость в долях с. По оси ординат масса топлива относительно полезной массы. Линии соответствуют скорости струи: черная 1с, синяя 75%с, зеленая 50%с, красная 25%с. Может показаться, что есть какой-то предел скорости (меньший с, вертикальная асимптота), но нет: достижима любая скорость меньше с=1, вот только цена высока.

Если скорость v мала, то 1/(1-v)≈1+v. Двойка сократится.

Применим замечательный предел:

-4

Логарифмируя и подставляя m=M=1, получим

wln(1+M₀) = v.

Это классическая ракетная формула Циолковского. Обратите внимание, что скорость w может быть и большой, относительно нее предположений о малости не сделано. И ещё обратите внимание на то, что в этой формуле закон сохранения энергии не выпоняется; этот вопрос мы обсудим в следующей заметке.

Но даже эта формула весьма пессимистична в рассуждении необходимой массы, поскольку логарифм растет очень медленно.

Вернемся к уравнению

-wdm/m = adt.

Интегрируя его, получаем время, необходимое для разгона:

t=(w/a)lnM₀.

Если a=g=10, w=½c и M₀ = 18, то t=0.144c, или 40 миллионов секунд. В году 30 миллионов секунд (немного побольше), что дает год и пять месяцев. И разгон до 90% от с.

А вот если разгон до 99%, то M₀=199 и при том же ускорении 0.265с=26 лет.

Вопрос о том, как разогнать топливо до релятивистских скоростей, мы обсудим в другой раз.

Рекомендую книжку Д.В. Скобельцын "Парадокс близнецов в теории относительности", М.: Наука, 1966.

Научно-популярные каналы на Дзене: путеводитель
Новости популярной науки12 марта 2022