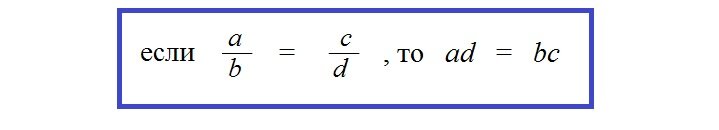
Основное свойство пропорции Уважаемые мамы и папы, дедушки и бабушки! Статьи с таким названием я уже размещал на моём канале 18-го июня 2022 и 20-го июня 2022. Однако за лето многие школьники успели забыть основное свойство пропорции, а без этого правила невозможно решить задания 5 и 11 Всероссийской проверочной работы (ВПР) за 6-й класс (в сентябре будут писать теперь уже семиклассники). Предлагаю на примере решения задачи 611(1) и 612 из 7-го издания учебника по математике для 6-го класса авторов А. Г. Мерзляка, В. Б. Полонского и М. С. Якира под редакцией В. Е Подольского вспомнить основное свойство пропорции. О том, что такое пропорция написано здесь. Условие задачи 611 (1): На пошив 14 одинаковых костюмов израсходовали 49 м ткани. Сколько таких костюмов можно сшить из 84 м ткани? Решение: Ученики пятого класса сперва поделят 49 на 14, чтобы найти, сколько метров ткани расходуется на пошив одного костюма, а затем 84 разделят на полученное значение, то есть: 1) 49 : 14 = 3,5 метра
Задачи 611 (1) и 612 из учебника по математике для 6-го класса (автор А. Г. Мерзляк)
31 августа 202231 авг 2022
59
2 мин
