Добавить в корзинуПозвонить
Найти в Дзене
Математика – просто

Мир логичен и прекрасен. Всё о золотом сечении

Золотое сечение Золотое сечение – наилучшее отношение частей и целого, при котором отношения частей между собой и каждой части к целому равны. Это математическое соотношение присутствует в природе и широко используется в науке и искусстве. Математическое обоснование Графическое представление: Чтобы узнать, чему равно "золотое число", необходимо решить пропорцию. Разделим правую часть почленно и произведем замену: a/b=x. Решая квадратное уравнение, получаем искомую величину. Золотое сечение в природе Непосредственно золотое соотношение не так уж и просто найти в природе, однако в природе часто встречаются числа Фибоначчи. Числа Фибоначчи являются приближением вещественных чисел рациональным. Последовательность Фибоначчи можно разглядеть в лепестках цветов, сосновых шишках. Числа Фибоначчи являются элементами последовательности, в которой первые два члена равны 0 и 1, а последующие – сумме двух предыдущих чисел. Применение Предполагается, что Витрувианский человек Леонардо да Винчи соз
Оглавление

Золотое сечение

Золотое сечение – наилучшее отношение частей и целого, при котором отношения частей между собой и каждой части к целому равны. Это математическое соотношение присутствует в природе и широко используется в науке и искусстве.

Математическое обоснование

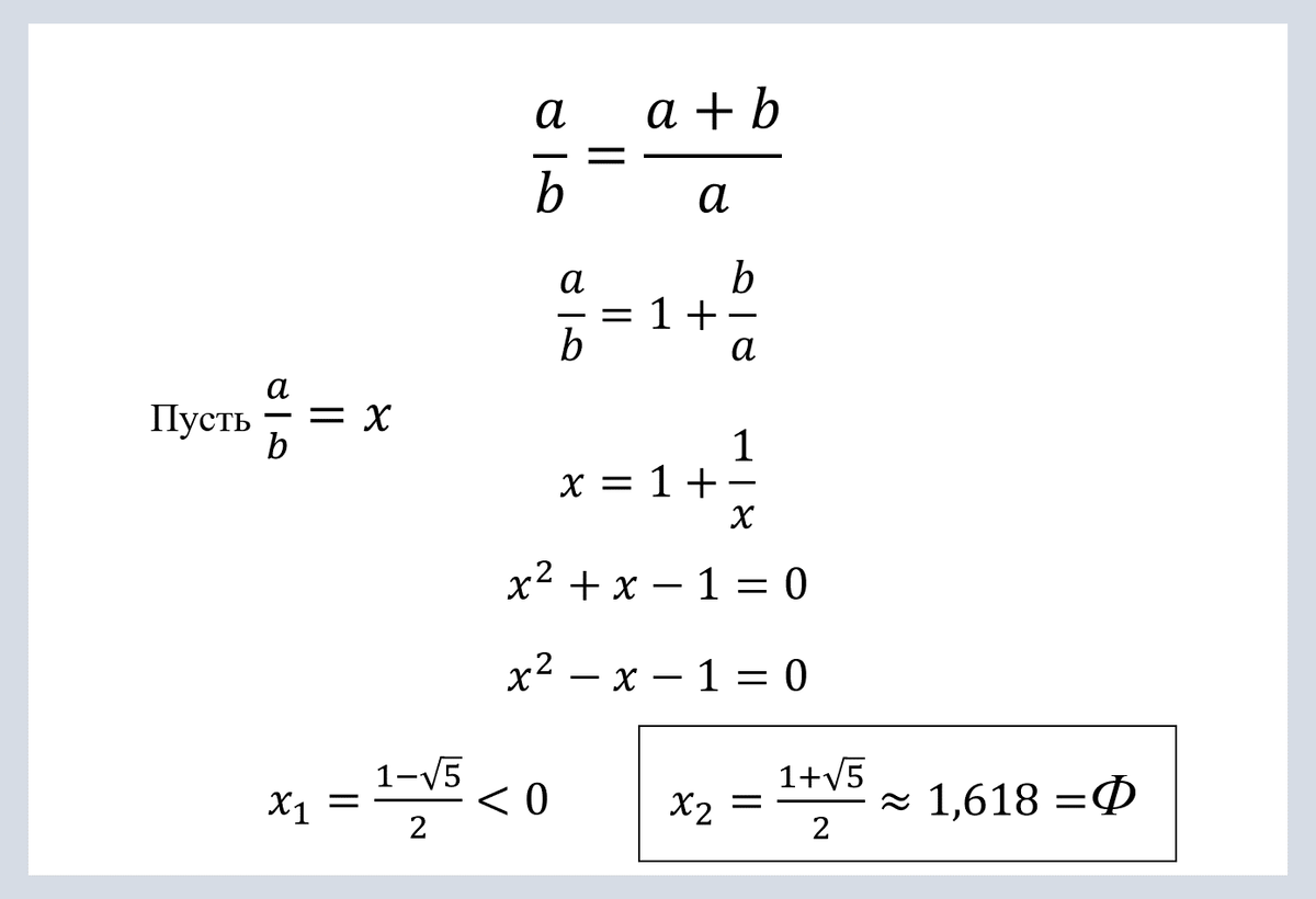
Графическое представление:

Чтобы узнать, чему равно "золотое число", необходимо решить пропорцию. Разделим правую часть почленно и произведем замену: a/b=x. Решая квадратное уравнение, получаем искомую величину.

-2
-3

Золотое сечение в природе

Непосредственно золотое соотношение не так уж и просто найти в природе, однако в природе часто встречаются числа Фибоначчи. Числа Фибоначчи являются приближением вещественных чисел рациональным.

Последовательность Фибоначчи можно разглядеть в лепестках цветов, сосновых шишках.

Числа Фибоначчи являются элементами последовательности, в которой первые два члена равны 0 и 1, а последующие – сумме двух предыдущих чисел.

Применение

Предполагается, что Витрувианский человек Леонардо да Винчи создавался с учетом золотого сечения (расстояние от пояса до ступней относится к расстоянию от пояса до макушки так же, как вест рост человека к расстоянию от пояса до ступней).

-4

Мозаики Пенроуза также тесно связаны с правильным пятиугольником и золотым сечением.

Один из типов мозаики Пенроуза
Один из типов мозаики Пенроуза

Золотое сечение находит применение в дизайне и искусстве. Пример работ современного художника, использующего золотое сечение:

Rafael Araujo Венесуэльский художник
Rafael Araujo Венесуэльский художник

В науке золотая пропорция используется при решении задач в различных областях. В электротехнике это модели бесконечных цепей, в механике –колебательные пружинные системы. Квазикристаллы (в данном случае, кристаллы, имеющие 5 осей симметрии) базируются на золотом сечении.

В следующей статье разбираем типы уравнений и переходим к решению задач. Подписывайся, чтобы не пропустить.