Найти в Дзене
МАТЕМАТИКА ЕГЭ

Ларин 391

Всем привет Сегодня мы с вами разберем еще один вариант Ларина, который заслуживает внимания Задача 1 Первый номер примечателен лишь тем, что мы должны учесть условия существования логарифма и, как следствие, исключить нулевой корень Задача 2 Т.к. фри-джаз должна сыграть впервые третьей по счету, то первой у нас играет хард-боп или джаз-рок т.е. одна из 43 песен. Далее у нас опять же должна играть одна из них, но теперь у нас самих песен стало на 1 меньше (42)и число всех песен вместе так же уменьшится (49). И вот третье событие уже должна включать в себя фри-джаз т.е. это 7 песен из 48 оставшихся. После сокращаем и получаем ответ Задача 3 Это очень интересная и достаточно сложная задача для 3-го номера, но что поделать Первым делом давайте обозначим наши отрезки через «x» «y» и запишем отношение. Для начала запишем отношение площадей треугольников ANC и CMN. Если рассматривать площадь через синус и прилежащие стороны, то в отношении получим просто отношение боковых сторон данных треуг
Оглавление

Всем привет

Сегодня мы с вами разберем еще один вариант Ларина, который заслуживает внимания

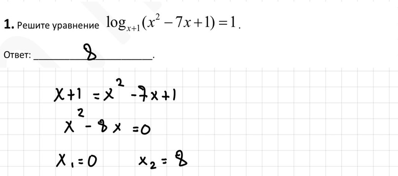
Задача 1

Первый номер примечателен лишь тем, что мы должны учесть условия существования логарифма и, как следствие, исключить нулевой корень

Задача 2

-2

Т.к. фри-джаз должна сыграть впервые третьей по счету, то первой у нас играет хард-боп или джаз-рок т.е. одна из 43 песен. Далее у нас опять же должна играть одна из них, но теперь у нас самих песен стало на 1 меньше (42)и число всех песен вместе так же уменьшится (49). И вот третье событие уже должна включать в себя фри-джаз т.е. это 7 песен из 48 оставшихся. После сокращаем и получаем ответ

Задача 3

-3

Это очень интересная и достаточно сложная задача для 3-го номера, но что поделать

Первым делом давайте обозначим наши отрезки через «x» «y» и запишем отношение.

Для начала запишем отношение площадей треугольников ANC и CMN. Если рассматривать площадь через синус и прилежащие стороны, то в отношении получим просто отношение боковых сторон данных треугольников и, как следствие, численное отношение их площадей.

Теперь представим треугольник ANC как сумму площадей и, подставив известную площадь AMN отношение, получим площадь треугольника CMN.

Теперь проделаем все тоже самое для треугольников ACN и ABC и, подставив площадь ACN, получим искомую площадь

Задача 4

-4

Для первой дроби перевернем логарифм из знаменателя и получим квадрат, во второй дроби в числителе вынесем степень аргумента, а знаменатель так же перевернем и разложим аргумент на произведение 5 и 32 и получим сумму двух логарифмов (логарифм от 32 преобразуется в 5).

Далее у квадрата логарифма так же преобразуем 800 как произведение 32 и 25 и поучим квадрат суммы. Далее проводим немного преобразований и все логарифмы сокращаются

Задача 5

-5

Обозначим ребро куба через «a» и воспользуемся формулой для площади поверхности куба

Задача 6

-6

Для данной задачи учтем, что если прямая является касательной к графику, то значения их производных должны равняться (условие равенства угла наклона)

Но помимо этого само значение обеих функций должно быть одинаковым в точке касания

Исходя из этих условий мы получаем систему уравнений и решаем ее

Задача 7

-7

Извлекаем корень и считаем, задача очень проста

Задача 8

-8

Обозначим количество всего товара через «х», а стоимость одной единицы товара через «у». Тогда продажа 70 процентов продукции (0.7х) по цене на 60% выше закупочной (1.6у) мы получим доход за эту сделку

Далее мы продаем остатки продукции (0.3х) по цене на 40 процентов ниже изначальной (1.6*0.6у) и получаем доход за эту операцию

Теперь считаем общую доходность и получаем чистую прибыль

Задача 9

-9

Мы видим, что асимптота по оси ОХ смещена влево на 1, т.е. а=1. Далее берем любую удобную для расчетом точку (пусть будет точка А) и находим коэффициент К (на самом деле его можно найти быстрее, но об этом поговорим когда-нибудь позже)

Задача 10

-10

Для расчета всевозможных вариантов исхода событий воспользуемся формулой Бернулли (коэффициент С, который показывает количество способов получить необходимое число исходов из всех имеющихся)

Задача 11

-11

Касательно самой производной мне сказать нечего т.к. это стандартная формула, но о промежутке давайте поговорим. Мы получили, что не имеем точки максимума, а есть лишь минимум в точке (-2), которая подходит промежутку. Но при этом правее данной точки функция монотонно растет и, следовательно, самое большое ее значение будет в самой правой точке промежутка т.е. при х=2

Задача 12

-12

Воспользуемся формулой понижения степени для синуса. Т.к. перед ним стоит 4, то она сократится. Так же квадрат синуса слева заменим на косинус по основному тождеству. Таким образом мы получаем уравнение относительно квадрата косинуса

-13

Теперь мы можем получить сами значения для «х» (не забываем делить на 2) и наносим все значения на окружность

Задача 13

-14

Прежде чем прикреплять и объяснять эту задачку, я предлагаю вам попробовать самостоятельно т.к. она достаточно интересная

А теперь решение

-15

Изобразим нашу пирамиду и произведем некоторые достроения

Помимо самих высот AP и CQ проведем еще высоты в боковых гранях и рассматриваем треугольник SNB и BSM поочередно

-16

Начнем с первого и запишем для него sin(NSB) и далее через этот синус выразим РВ в треугольнике АВР

Проделав тоже самое во второй грани мы получим, что отрезок BQ в 2 раза больше отрезка ВР и, следовательно, точка Р является серединой BQ

Идем далее, для нахождения угла между плоскостями вспомним, что для проведения данной операции нам требуется провести на ребро пересечения два перпендикуляра из каждой плоскости и найти угол именно между ними

-17

В таком случае мы с вами имеем 2 прямоугольных треугольника и через них находим АР и РМ

Далее мы можем найти третью сторону треугольника АРМ АМ через АВМ (он тоже прямоугольный) и теперь мы можем воспользоваться теоремой косинусов и выразить угол между АР и РМ

-18

Задача 14

-19

Имеем неравенство с модулем и поэтому первым делом раскроем модуль и запишем интервалы, на которых справедливо данной раскрытие, и поработаем с каждым интервалом отдельно

-20

Т.к. на этом промежутке модуль раскрывается как положительное число, то мы можем избавиться от него и решить обычное квадратное уравнение относительно квадрата

Второй промежуток будет с минусом, но там так же избавляемся от знаменателя т.к. это всегда отрицательное число

-21

Тут мы получаем то же самое уравнение, что и в первом случае, но уже меньше нуля

Задача 15

-22

Это не совсем стандартная задача, но если вчитаться, то мы поймем, что всю сумму можно разделить на 8 частей и в первые 4 года будет выплачиться по 1/8 от долга. Таким образом за 4 года долг станет равен 4/8 т.е. половина изначального долга. После этого требуется, чтобы в течение двух лет кредит так же гасился равномерно а т.к. у нас осталось 4/8, то гасить будет по 2/8 от изначального долга. Исходя из этих рассуждений мы составим таблицы и решим простенькое уравнение

-23

Задача 16

-24

Эта задача, несмотря на безумное условие и не менее безумный вопрос, достаточно просто решается если знать такой термин, как «степень точки». О нем я расскажу чуть позже в отдельной статье, а пока принимаем на веру

-25

Степень точки Q (внешняя точка) будет равняться произведению внешней степени секущей на внутреннюю, а это будет равняться разности квадратов расстояния от точки Q до центра окружности и радиуса данной окружности

Для внутренней точки степень будет считаться как произведение двух кусочков хорды, а это будет равняться разности квадратов радиуса окружности и расстояния между точкой P и центром окружности.

Соединив все это воедино мы получим то, что требовалось доказать

-26

Для второго пункта обозначим некий угол ∠АВС=α. В таком случае угол ∠DAC=α+30

В таком случае запишем теорему синусов для треугольников ADC и ABC и найдем угол альфа. После подставим в ту же формулу теоремы синусов и найдем искомый радиус

Задача 17

-27
-28

Распишем корень и сформируем под ним разность квадратов и, благодаря этому, получим ограничения на «а» (для этого учитываем ограничение на аргумент логарифма)

Теперь считаем различные варианты для корней и первым возьмем случай равенства логарифма нулю:

-29

В таком случае а принадлежит отрезку от [1;3] включительно

Вторым шагом рассмотрим случай, когда х=а:

-30

В таком случае а должно принадлежать промежутку от [0;2] включительно, но с учетом того, что из-за логарифма х>0.5, то а принадлежит от (0,5;2]

Третьим случаем возьмем х=4-а:

-31

Отсюда так же находим интервал и объединяем все интервалы для «а» и исключаем все пересечения (т.к. нам требуется только 1 решение на промежутке [0;2])

Задача 18

-32

Это очень простенькая задача 18 и хороший пример того, что всегда надо решать последнюю задачу, даже если вы не делали этого ранее

-33

А) Домножим на 2 и получим, что n=238 т.к. 2*3*8=48

Б) В силу того, что в числителе число, оканчивающееся на 5, то по условию задачи мы можем домножать только на нечетные числа (если умножим на четное, то получим в записи числа ноль). Т.е. мы можем умножить на 3, 5 и 7 (если на 9, то четырехзначное число будет). Но ни одно из чисел не будет удовлетворять условию (можете умножить и проверить)

В) Т.к. дробь несокращаемая, то произведение чисел должно равняться 24. Для этого распишем все варианты от большего к меньшему. Самый большой вариант 831, но он не подходит т.к. делится на 3 т.е. дробь становится сокращаемой. Следующий вариант 641 и он уже никак не сокращается и, следовательно, подходит нам