Найти в Дзене
МАТЕМАТИКА ЕГЭ

Разбор реального ЕГЭ 2022 часть 2

Всем привет, вот и настало время для второй части Если немного предисловий, то в этом году ЕГЭ по математике было достаточно простое. 12, 14 и 15 задания совсем простые, стереометрия и геометрия чуть сложнее, но тоже достаточно механические и линейные. Параметр может вызвать трудности, но это далеко не самый сложный параметр из тех, которые могут встретиться. 18 же задача очень простая Задание 12 Единственная сложность в данной задаче заключается в минусовых аргументах синуса и косинуса, но мы знаем, что sin(-a) = -sin(a), cos(-a) = cos(a) После мы раскладываем выражение на множители и получаем 2 уравнения - для синуса и для косинуса. После этого мы сразу можем записать ответ для нашего аргумента Для отбора корней нарисуем окружность и нанесём все «х» с учетом нашего шага по окружности Задание 13 Пункт А Т.к. нам надо доказать перпендикулярность прямых, лежащих в различных плоскостях, нам потребуется доказать перпендикулярность этих плоскостей. А для этого нам потребуется совершенно д
Оглавление

Всем привет, вот и настало время для второй части

Если немного предисловий, то в этом году ЕГЭ по математике было достаточно простое. 12, 14 и 15 задания совсем простые, стереометрия и геометрия чуть сложнее, но тоже достаточно механические и линейные. Параметр может вызвать трудности, но это далеко не самый сложный параметр из тех, которые могут встретиться. 18 же задача очень простая

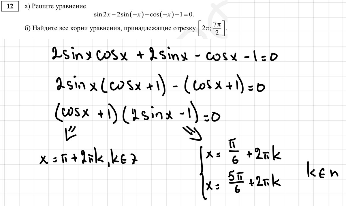
Задание 12

Единственная сложность в данной задаче заключается в минусовых аргументах синуса и косинуса, но мы знаем, что sin(-a) = -sin(a), cos(-a) = cos(a)

-2

После мы раскладываем выражение на множители и получаем 2 уравнения - для синуса и для косинуса. После этого мы сразу можем записать ответ для нашего аргумента

Для отбора корней нарисуем окружность и нанесём все «х» с учетом нашего шага по окружности

-3

Задание 13

-4

Пункт А

Т.к. нам надо доказать перпендикулярность прямых, лежащих в различных плоскостях, нам потребуется доказать перпендикулярность этих плоскостей. А для этого нам потребуется совершенно другие прямые

-5

Прямая B1M лежит в плоскости B1NB, а прямая СМ лежит в нижней плоскости АВС. В таком случае нам необходимо доказать перпендикулярность этих двух плоскостей и для этого докажем перпендикулярность прямых СМ и DN. Обозначим ∠BCM = α.

Тогда ∠BMC = 90 - α. В силу того, что BCM = BNA, угол ∠ABN = α, а значит ∠BHM = 90. Следовательно, прямые BN и CM перпендикулярны, а т.к. CM перпендикулярна ВВ1 в силу перпендикулярности плоскостей куба, и прямая CM перпендикулярна плоскости B1BN и прямая B1N перпендикулярна СМ

Пункт Б

-6

Расстоянием между прямыми будет прямая HH1. Начнем с отыскания всех сторон и после через подобие треугольников найдем HN, а после через еще одно подобие уже найдем расстояние

Задание 14

-7

Первым делом учтем выколотую точку. Далее приводим к общему знаменателю и раскладываем числитель на множители и отмечаем корни на числовой прямой, не забывая выколоть точку

-8

Задание 15

-9

Введем S как сумму взятого кредита и заполним таблицу по 3-ем колонкам. В первой будем отмечать долг после начисления. во второй долг после выплаты и последней колонкой саму выплату. Далее заполним ее с учетом начисления 30% и известной выплаты. После возьмем последний год и учтем, что после последней выплаты долг будет равен нулю. Отсюда найдем сумму взятого кредита

-10

Задание 16

-11

Пункт А

В силу того, что вписанная окружность находится на пересечении биссектрис треугольника, то мы должны доказать, что биссектриса данного треугольника и есть та самая диагональ

-12

Для этого достроим параллелограмм AMCN и заметим, что у него все стороны равны, а это обозначает, что АС является биссектрисой угла ∠MAN

Пункт Б

Для отыскания радиуса вписанной окружность воспользуемся тем фактом, что он равен отношению площади треугольника к полупериметру этого треугольника. Т.е. надо найти все стороны и площадь треугольника, а для нее потребуется высота треугольника. а т.к. это самый легкий пункт, то с него и начнем

-13

Далее найдем сторону АМ, обозначив ее через "х". Тогда ВМ будет 21-х. После этого мы сможем записать теорему косинусов для треугольника АВМ и найти "х"

Осталась лишь одна неизвестная сторона - MD. Для этого так же воспользуемся теоремой косинусов, но уже для треугольника MCD

После все собираем в единую формулу, отыскиваем полупериметр, площадь и находим радиус

-14

Задание 17

-15

Будем решать эту задачу в координатах (х; а) т.е. заменим координату "у" на координату "а". Благодаря этому мы можем записать графическое изображение данной задачи

Но начнем с раскрытия модуля и ограничений. Первым делом заметим, что х+а должно быть всегда положительно т.к. слева стоит модуль, а он всегда положительный. Далее раскроем модуль по определению и получим систему из 2-ух уравнений, которые сворачиваются к уравнениям окружностей разного радиуса

-16

Изобразим их на плоскости и отметим самое первое условие в виде прямой и синими стрелками укажем, что нас интересует только ее верхняя часть

-17

Теперь можем приступить к поиску ответа и для этого потребуется найти те "а", при которых линия, параллельная оси ОХ будет пересекать окружности в 4-ех точках

Задание 18

-18

Для первого пункта нам достаточно подобрать подходящий вариант

-19

Путем подбора мы говорим, что да, такое может быть

Для второго пункта немного распишем наше условие и получим, что результат конечного действа должен делиться на 3, а это значит, что второй пункт невозможен

-20

В третьем варианте мы получаем, что у нас может быть 5 различных сотен с набором десятых в виде десяти вариантов. Но есть так же доп вариант 600, когда десятки равны 0, а сотня равна 6. В таком случае получаем 51 вариант

-21

Для доказательства того, что это различные варианты, предположим, что есть какие-то различные варианты, дающие один результат. Но в таком случае разность десятков должна делиться на 11, а это невозможно. Следовательно, мы имеем 51 различный вариант

Итог

Как мы видим, вариант достаточно простой и без особых сложностей. Для всех желающих посмотреть работу целиком, я прикреплю в группу вк данный вариант и единый файл с решением

До скорой встречи

Иван